Source: -
Source: -
Source: -
Source: -
No about page exists.
The investment manager should ensure that the vehicle complies with applicable laws and regulations.
Vehicles must comply with applicable laws and regulations. The investment manager should comply with, and act in the spirit of, (i) the applicable laws and regulations and (ii) the constitutional documents of the vehicle. The investment manager should have appropriate systems in place to monitor compliance with them.
The investment manager should behave with integrity, trustworthiness and abstain from participating in unlawful transactions.
When entering into contractual arrangements, including the drafting and implementation of the constitutional documents of the vehicle, the investment manager should ensure that outcomes intended by the investors are protected. Documentation should be clear, comprehensible and not misleading.
The investment manager should identify and formally document its core values and principles.
The core values, principles and code of ethics of the investment manager concerning how it acts toward the vehicle should be documented and communicated to investors and stakeholders. The governing body of the vehicle should oversee adherence to these values and principles. The investment manager should promote such values and principles on an ongoing basis and establish appropriate systems to enable individuals to report unethical behaviour. These systems should be designed to ensure any whistle-blower can act anonymously and without fear of reprisal.
The investment manager should develop and implement a sustainable taxation policy.
An investment vehicle should follow a tax policy in relation to its structure and day-to-day transactions. The investment manager should operate an appropriate tax management framework and, together with the governing body of the vehicle, oversee the development of an effective application of tax structures, operations and compliance frameworks. Reference is made to the INREV recommendations and best practices regarding tax related matters included in Code of Tax Conduct module.
The investment manager should act in the best interests of both existing and new investors that have committed undrawn capital.
When making investment decisions, the investment manager should not pursue transactions which merely optimise its own outcomes, for example through enhanced management or performance fees, but should consider the best interests and reasonable expectations of both existing and committed investors.
The constitutional documents of the vehicle should also clearly state how the interests of those investors who have committed capital but whose capital is undrawn are fairly treated.
The investment manager should set out in the constitutional documents of the vehicle the terms by which equity (or debt investments) is issued, transferred and redeemed, to ensure fair treatment of investors.
The investment manager should clearly state in the constitutional documents of the vehicle how equity (or debt investment) is issued and redeemed. In the case of closed end vehicles, the issue of equity (or debt investment) is likely to be through one initial or multiple closings where a number of investors subscribe at the same time, with distributions occurring towards the end of the vehicle’s life, as it sells its assets and winds down. Investors may have the ability to sell their investment on the secondary market but would not normally be expected to do so. The investment manager should clearly articulate the role that it provides in respect of secondary transfers, including any fees charged or interaction with third party trading platforms or placement agents.
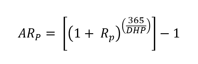
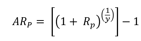
In the case of open end vehicles, the process of issue and redemption of equity (or debt investment) would be on a periodic basis. This may be annually, quarterly, monthly or daily. The method of valuation of the equity (or debt investment) should be clearly set out, including the underlying valuation and accounting principles applied (see G09 for open end fund pricing best practices).
Read more at Liquidity Module.
The investment manager should consider the legitimate interests of other stakeholders alongside those of investors.
When establishing a new vehicle, the investment manager should identify and understand the interests of all major stakeholders with which the vehicle transacts and interacts. These interests should be reflected in the objectives and operations of the vehicle. The investment manager should regularly evaluate relevant outcomes and communicate to investors and other stakeholders as appropriate. In addition to the investors, the following parties may, amongst others, be regarded as stakeholders:
In addition, there are other types of stakeholders related to broader and social impacts which are considered under Principle 7.
The governing body should scrutinise any proposed changes to the vehicle, acting in the interests of all investors.
The governing body of the vehicle has a specific duty to ensure the interests of all investors are properly considered and advise on whether any proposed changes to the vehicle structure, strategy or constitution are in the best interests of all investors. The role of independent non-executive directors is particularly relevant in this context. For instance, their analysis of the merits of any proposed changes to constitutional documents or other material transactions should be supported by any reasonable resources at the expense of the vehicle, to enable them to properly fulfil this role.
Members of the governing body of the vehicle, including any independent non-executive directors, should have (i) adequate veto and approval rights on all important governance matters, (ii) access to sufficient high-quality information to make informed decisions, (see also Principle 6), (iii) the ability to convene meetings.
For open end real estate vehicles, the investment manager, together with the governing body of the vehicle, should ensure effective design, operation and governance of pricing that represents the best interests of investors.
Allocating transaction costs between different vintages of investors in open end real estate vehicles and protecting existing investors against dilution is a complex matter, subject to different circumstances and events. The investment manager should adopt a set of pricing governance best practices to drive increased transparency and to ensure pricing policies are operated effectively in the interests of investors.
Read more at Open end fund pricing best practice.
The investment manager should ensure that the vehicle, through rights established in its constitutional documents, can react in a timely and appropriate way to external circumstances and significant events.
Exceptional external circumstances and significant events within the lifecycle of a vehicle should be anticipated and considered in the vehicle’s design and constitutional documents. These include exceptional economic or environmental circumstances, which may lead to a range of situations such as valuation uncertainty and breaches of covenants or liquidity issues that may require actions such as (i) deferral or suspension of trading in the vehicle’s equity, (ii) restructuring of the vehicle or (iii) liquidation of the vehicle (see G38 on communication to investors outside of the regular reporting obligations).
Procedures relating to analysis, decision- making and consent should be adequate and clearly documented. Outcomes should enable actions to be taken on a timely basis and in the best interests of investors as a whole (see G29 and G30 on material decisions requiring specific involvement or consent of the investors).
The investment manager should ensure that the liability of an investor is limited to its commitment to the vehicle.
The investment manager should ensure that the liability of an investor does not exceed its total commitment. The constitutional documents of the vehicle should contain an explicit provision dealing with such liability.
The investment manager should establish and maintain an up-to-date register of related-party transactions and potential conflicts of interest and relevant mitigating circumstances.
The investment manager, in collaboration with the governing body of the vehicle, should establish a policy to manage related-party transactions and conflicts of interest. This should be adapted to the nature and scale of the vehicle. Related-party transactions and potential conflicts of interest should be documented and reported to the governing body of the vehicle and communicated to investor representative groups as appropriate.
Related-party transactions and potential conflicts of interest may arise in different circumstances, such as but not limited to:
The investment manager and its affiliates should adopt a methodology that ensures that investment opportunities are fairly allocated to the vehicle.
An investment manager may advise and provide investment opportunities to a range of vehicles with different investor bases. The investment manager should establish policies and procedures to ensure that investment opportunities are fairly allocated between such vehicles. Such an allocation approach should have appropriate oversight to ensure fair outcomes and be transparent to respective groups of investors. Different allocation methodologies may be considered, such as vintage, degree of alignment with investment strategy or a pro-rata approach.
The investment manager should consider co-investment in vehicles in which they are active.
For certain types of investment vehicles, a co-investment by the investment manager is an appropriate way to align interests with the investors. Such co-investment could consider key management and employees as well as other concerned entities. The amount and terms of such co-investment should support a meaningful alignment of interest.
The investment manager should have a policy in place defining how co- investment opportunities by investors in assets held by the vehicle are treated.
If certain investors have a contractual right to co-invest alongside a vehicle in certain assets, the investment manager should have a policy in place to define how key contractual terms, such as management and performance fees, should be allocated between the vehicle and co-investment entity to ensure that the other investors in the vehicle are fairly and transparently treated.
The investment manager should design management and performance- related fees that are aligned with the interests of investors.
Such fees should be aligned with the interests of investors and should incentivise the investment manager to behave in a manner consistent with the risk profile of the vehicle. The remuneration and fee structure of the investment manager should not encourage the investment manager, its staff or the management board members of a vehicle to act in their in interest, or to take risks that are not in keeping with the strategy and the risk appetite that has been agreed (see G33 on fee transparency).
See the Fee and Expense Metrics module for specific guidelines on fees and costs.
The governing body of the vehicle, together with the investment manager, should ensure that they have the appropriate skills, capacity and competence to act effectively in the best interests of investors.
The investment manager, together with the governing body of the vehicle, has a responsibility to assess whether the people involved in the vehicle are of sufficiently good repute, and possess sufficient knowledge, skills and experience to perform their duties. They should also be able to act with independence of mind to effectively assess and challenge the decisions of the management body in its management function, and to effectively oversee and monitor management decision-making. They should be able to commit sufficient time to perform their functions with respect to the vehicle.
The members of the governing body of the vehicle and the employees of the investment manager should actively engage in their duties and make their own sound, objective, and appropriate decisions and judgments when performing their functions and responsibilities.
The diversity, equity, and inclusion (DEI) of employees and members of the governing body of the vehicle should be considered.
For more information about integrating social aspects of ESG into investment decision-making processes, please refer to INREV’s Sustainability Guidelines.
The governing body of the vehicle, supported by appropriate parties, should oversee and take responsibility for key judgments and estimates related to financial and performance reporting.
Changes in assumptions and key estimates have a significant impact on business performance and reporting. This requires setting clear expectations for transparency and quality and ensuring that the management’s judgments and estimates impacting key assumptions and the external audit processes are effective. Considerations included in the Reporting and Property Valuation modules of the INREV Guidelines should also be taken into account.
The investment manager should ensure that all parties involved in the operations and management of the vehicle are adequately trained and have access to appropriate educational programmes.
It is important that all parties involved in the operations and management of the vehicle have an understanding of its structure, business model, risk profile and governance arrangements, which should be facilitated through relevant training programmes. The investment manager should allocate sufficient resources for education and training to such persons.
Key members of the operational and management team, including the governing body of the vehicle, should have capacity and devote adequate time to effectively operate and oversee the vehicle.
This consideration is especially important for team members that are instrumental to the success and the execution of the strategy of the vehicle. The factors to take into account in this regard are, amongst others, the number of other directorships or similar management responsibilities held by such persons at the same time, and the nature and complexity of these other roles.
The investment manager should document and communicate the operational, management and oversight structures related to the vehicles it manages.
The operational, management and oversight structures related to investment vehicles are often complex and involve a wide range of parties performing specific tasks. The investment manager should document and communicate the structure of the vehicle framework to potential and existing investors. This should include the identification of specific roles performed by the investment advisor, management company, administrator, custodian, external auditor and valuer, amongst others. It should also identify the existence and roles of oversight and advisory bodies, such as investment committees, management boards, valuation and pricing committees, investor representative committees and audit committees, amongst others.
The investment manager should define an appropriate risk management framework.
This should include the definition of relevant risks and risk appetite. It should also define the roles, responsibilities and controls within the risk management function. The investment manager should ensure that the process and outcomes are aligned with the investment objectives of the vehicle, aligned with the identification of key and relevant risks and adapted to the specific needs of the vehicle. The resultant risk management framework should also be designed to operate in accordance with applicable regulations, e.g., AIFMD.
A risk management framework generally consists of implementing a policy that identifies relevant risks, establishes risk limits based on the investors’ risk appetites and expectations, gathers and analyses relevant information, and responds on a timely basis.
Risk management is a continuous process that should be monitored by the investment manager and the governing body of the vehicle. The results of this process should be reported to investors, taking account of applicable regulatory and financial reporting requirements.
See the Reporting module for specific reporting guidelines.
The investment manager, together with the governing body of the vehicle, should design and operate an effective system of internal controls.
An effective internal control framework is adapted to the specific risks, processes and organisational structure supporting an investment vehicle. It includes consideration of the operating environment of the investment manager and all relevant service providers to the vehicle. The design of an internal control environment starts with the definition of control objectives.
Based on this, effective internal controls can be designed, documented, and implemented. This should include the segregation of incompatible responsibilities and an appropriate transaction approval process that prevents an individual from acting alone or overriding internal controls. An internal control system should be tested on a recurring basis (e.g. by internal and external auditors) and the results reported to the governing body of the vehicle. Control remediation action plans to improve the environment can then be effectively directed.
The internal control framework should be aligned with legal and regulatory compliance functions and the overall risk management framework.
The investment manager, together with the governing body of the vehicle, should review the (vehicle) governance framework as part of any vehicle extension process.
Where the manager presents proposals for an extension of the life of the vehicle or a short run-off period to allow properties to be sold (which is not a fixed extension specified in the constitutional terms), this is in effect a new vehicle and provides an opportunity to review the constitutional terms of the vehicle.
The governing body of the vehicle should undertake a review of the continuing appointment or re-appointment of the external auditor, valuer, depositary and other key service providers on a regular basis.
This review should be undertaken at least every three years.
See also PV04 of the Property Valuation module for guidelines on reviewing the performance of valuers.
The investment manager, together with the governing body of the vehicle, should evaluate the need for independent non-executive directors.
Given the wide range of investment vehicles and their features (open/closed end, number of investors, size, duration, risk profile, etc.), the need for independent non-executive directors varies across the industry.
For smaller vehicles, where investors may be closer to its day-to-day operation, the role and value of independent non-executive directors may be limited. For larger or more complex vehicles, it may be appropriate to appoint independent non-executive directors, which may form the majority of the governing body or occupy the chairperson role, to ensure decision-making always reflects the best interests of investors.
Where a vehicle appoints independent non-executive directors, the selection criteria should be clearly defined and focus on skills, qualifications, and relevant experience. Independent non-executive directors should at all times be independent of the investment manager and accountable to investors. The term of appointment of independent non-executive directors should be fixed, but for a period long enough for them to gain appropriate knowledge and to effectively execute their responsibility without losing their independence.
The investment manager, together with the governing body of the vehicle, should ensure that investor interests are adequately and appropriately represented.
This objective may be achieved through the constitution of various investor representative groups or committees, which generally have an advisory role in helping the investment manager and the governing body of the vehicle understand investor expectations.
Investor representative groups or committees should be able to convene meetings independently of the investment manager to enable them to exchange views or consider how to exercise their investor rights in relation to material matters.
In certain vehicles, depending on their legal structure, investors or their representative groups may need to be consulted and/or approve certain key decisions, e.g., vehicle liquidation or change of investment manager (see G30). Care should be exercised to ensure that the investors represented in these groups and committees do not gain an economic advantage over other investors.
Independent non-executive directors, where appointed, should act on behalf of all investors.
Independent non-executive directors, where appointed as members of the governing body of the vehicle, should represent the best interests of all investors, collectively. In this capacity, they play an important role in scrutinising and approving key matters that are subjective, complex, and material to the outcomes for investors (see also RG14 and RG15 of the Reporting module).
For instance, particular areas of focus may include, but are not limited to:
Read more at Reporting module.
The investment manager should define and communicate how certain material decisions, which include investors, are made, and how voting thresholds operate by reference to constitutional terms and local laws.
Certain material decisions (see G30), which may result in changes to the vehicle’s constitutional documents, generally require investor consent. Sufficient quantitative and qualitative information should be provided to investors to enable them to make an informed decision. Adequate time should be provided to consider this information and the proposal prior to any vote taking place.
The constitutional documents should therefore set out a practical voting process that enables the vehicle to effectively respond to circumstances.
A common approach is to require a qualified majority vote of investors. In determining which voting percentage is appropriate, consideration should be given to the individual voting power of the respective investors to establish a well- balanced voting ratio as well as any legal requirements.
The use of tacit approvals should be limited in scope and clearly described in the constitutional documents of the vehicle. If a proposed change is rejected by investors, there should be sufficient time before investors can be asked to reconsider a proposal that they have previously rejected.
The investment manager should identify and document any matters that require the specific involvement or consent of the investors.
The constitutional documents of the vehicle should clearly identify the process by which investors can exercise their rights, either through investor representative groups or committees, or by vote.
This enables investors to effectively propose and influence/control material changes related to the vehicle. Examples of such matters can include but are not limited to:
The governing body of the vehicle should ensure that reporting to, and communication with investors is balanced and fairly represents the activities of the vehicle.
The governing body of the vehicle has an obligation, including applicable regulatory and legal obligations, to ensure that all forms of reporting by the vehicle to its investors are appropriate in the circumstances. In pursuing this responsibility, the governing body of the vehicle should always consider the best interests of investors.
The investment manager should ensure the constitutional documents set out clear obligations of confidentiality assumed by the vehicle and its investors.
The investment manager is aware of information relating to the vehicle, some of which will be disclosed to investors, either through regular reporting obligations or on an ad-hoc basis. Information that is commercially sensitive to the vehicle, should be treated as confidential and investors should refrain from acting on it. The constitutional terms of the vehicle should contain appropriate undertakings to ensure confidentiality of such commercially sensitive information.
The need to maintain confidentiality should be balanced by the need to ensure transparency; if there is a conflict, the need for transparency should prevail. Confidentiality provisions should not effectively prohibit investors exercising their rights under the constitutional documents, such as when engaging third- party advisors.
An investor may also be required to share confidential information related to the vehicle with a third party. In such a case, the investor should provide a notice to such third parties that such disclosure is made in confidence and should be kept in confidence. The investor remains responsible and accountable for the compliance of the third party to whom confidential information is disclosed.
The investment manager should ensure the constitutional documents of the vehicle include a clear and accurate description of the management and performance fee structures.
Management and performance fee structures, whilst being a key tool to align interests, (see G16), are often based on complex mathematical formulas which are subject to interpretation. The constitutional documents of the vehicle should clearly describe in detail how such fees are calculated over time. Best practice would be to include worked examples to ensure that subjective interpretation is limited.
The investment manager should also describe in detail the services to which the fees relate. For instance, there should be a clear distinction between a management fee and other charges and activities related to the administration of the vehicle, commonly conducted by third parties.
Where the investment manager has the right to make certain amendments to the constitutional documents of the vehicle without investor approval or through a power of attorney, such changes should be fully communicated and disclosed to investors.
If the investment manager has the right to amend certain elements of the constitutional documents of the vehicle, it should proactively communicate to investors the purpose and the intended results of any proposed changes and provide the amended documents on a timely basis. The constitutional documents of the vehicle should clearly describe the scope of such rights. (see G29 on voting thresholds).
The investment manager should disclose the existence and terms of side letters entered into with investors.
There may be circumstances in which different investors will have different arrangements, financial or otherwise, with a vehicle. For example, larger investors may receive a discount on fees payable to the investment manager and have the right to be represented in investor advisory groups. The investment manager should disclose how side letters and similar individual investor agreements are negotiated and implemented. The manager should also disclose the scope and terms of such side letters from a vehicle-wide perspective.
Investors should provide the investment manager on a timely basis with information legitimately required by the investment manager, such as for tax compliance purposes and anti-money laundering procedures.
Investors should respond in a timely manner to legitimate requests by the investment manager or service providers related to the vehicle to enable them to comply with certain legal or regulatory requirements such as tax compliance and anti-money laundering obligations. In addition, investors should provide other legitimate, non-statutory information, such as that related to conflicts of interest that they may have with the vehicle.
The investment manager should clearly define the annual and interim reporting requirements towards investors in the constitutional documents of the vehicle.
In accordance with INREV’s Reporting Guidelines, the constitutional documents of the vehicle should define the content and timing of investor reporting.
The investment manager should disclose relevant information periodically in a clear and concise manner under internationally accepted reporting standards and alongside the audited annual financial statements.
The annual report should describe the governance framework defined in the constitutional documents of the vehicle in accordance with applicable regulations (see also RG14 of the Reporting module).
The annual report should also include information such as the risk framework of the vehicle, its portfolio strategy and objectives, its sustainability strategy, and the economic outlook. It should further describe how the investment manager has complied with its business objectives and policies.
Read more at Reporting module.
In addition to respecting the contractual reporting obligations of the vehicle, the investment manager should provide further clear, timely and accurate information to investors and/ or key stakeholders, as relevant.
During the lifecycle of a vehicle, there may be situations or unforeseen events that the investment manager understands to be material to the outcomes of investors, which warrant timely and clear communication to investors outside of the regular reporting obligations. The investment manager, together with the governing body of the vehicle, should enable such communications to take place through appropriate channels such as written reports and/or convening meetings. The information communicated should be relevant and reliable.
The investment manager and the governing body of the vehicle should enable potential investors to fully utilise the INREV Due Diligence Questionnaire (DDQ) when considering an investment opportunity.
The INREV DDQ provides a consistent due diligence framework, helping potential investors achieve a high level of scrutiny when entering a vehicle. The investment manager should consider the adoption of the INREV DDQ and answer all its questions appropriately and in a clear and precise manner.
The investment manager, in collaboration with the governing body of the vehicle, should clearly state in the constitutional documents the vehicle’s intended level of adoption of the INREV (Vehicle) Governance Guidelines and perform an annual self-assessment of the effectiveness of its intended implementation.
To enable investors to fully understand the nature and extent of compliance of the vehicle’s intended governance framework with the INREV Guidelines, an initial as well as ongoing annual self-assessment by the governing body of the vehicle should be performed and the results disclosed appropriately.
See also RG16 and RG17 of the Reporting module.
The investment manager should ensure that the constitutional terms of the vehicle enable it to comply with INREV’s data collection requirements.
The investment manager should describe in the constitutional documents of the vehicle the type, frequency and purpose of information that will be provided to INREV. The investment manager should use reasonable efforts to ensure timely and accurate submission of such information and data required by INREV in the context of industry data analysis and performance measurement.
Read more at INREV Data Delivery module.
The investment manager, together with the governing body of the vehicle, should demonstrate how they are actively engaged with and accountable to investors.
The investment manager and the governing body of the vehicle are accountable to the investors of the vehicle as a whole. Demonstration of this accountability could include, for example, being available upon reasonable notice, defining the specific role of independent non-executive directors towards investors where applicable and meeting investors and investor representative groups to review and discuss matters relating to the vehicle.
The investment manager and the governing body of the vehicle are also expected to maintain relations with and oversee the work of external advisers and service providers, including external auditors, valuers, portfolio and property managers and risk managers.
The investment manager and the governing body of the vehicle should be willing to accept a certain level of liability subject to reasonable indemnifications.
There should be a fair allocation of risk between the investment manager, the governing body of the vehicle and the investors. The extent of the liability should be in accordance with the relevant laws and regulations and described in the constitutional documents of the vehicle. At the same time, the investment manager and the governing body of the vehicle can expect to be indemnified by the vehicle for losses, except in cases of fraud and culpable behaviours such as wilful misconduct or gross negligence.
The investment manager should enable investors to perform compliance audits, where appropriate.
Investors should have the right, in appropriate circumstances, to request an inspection of the books and records of the vehicle or have a third-party auditor conduct an audit.
Where multiple investors acting together through investor representative groups or committees, or the governing body of the vehicle, request and agree on an independent audit, the cost should be borne by the vehicle.
The investment manager should ensure that the constitutional documents of the vehicle include clear provisions for the rights and obligations of all relevant parties involved in the removal of the investment manager and the early termination of the vehicle.
The constitutional documents may provide that the investors, through the governing body of the vehicle, have the right to replace the investment manager. This may occur in a range of situations which include but are not limited to key changes of control in the investment manager organisation, un-resolvable performance issues or conflicts of interest.
For cause removal: Vehicles should have a ‘removal for cause’ clause in place that gives investors, dependent on a defined threshold, the right to call at any time for a vote to remove the investment manager. The vehicle documentation should clearly describe how cause can be established. The documentation should clearly disclose the investment manager’s rights regarding management fees and reasonable expenses, including consideration of the transition period in such situations.
No fault removal: The constitutional documents of the vehicle should contain a removal at will or ‘no fault removal’ clause, whereby the manager’s mandate can be terminated due to the request of a majority or qualified majority of investors (see G29). The documentation should clearly disclose the investment manager’s rights regarding management fees and reasonable expenses, including consideration of the transition period in such situations.
Termination of the vehicle: The constitutional documents of the vehicle should provide the right for investors to terminate and dissolve the vehicle in certain circumstances. This decision is generally subject to a qualified majority vote of investors. The documentation should clearly disclose the manager’s rights regarding management fees and reasonable expenses, including consideration of the transition period in such situations.
For specific guidelines related to the wind up of a vehicle, see the Liquidity module.
The investment manager, together with the governing body of the vehicle, should consider and develop a strategy to address sustainability impacts.
The investment manager should identify material sustainability aspects, including impacts and risks, and develop a sustainability strategy, with clear and measurable goals, to mitigate environmental concerns and consider social impact, as appropriate to the overall strategy of the vehicle. This may include, among others, sustainability requirements of the real estate assets the vehicle may invest in, and any additional ESG investment criteria. The investment manager should regularly report to investors on how the relevant ESG factors of the investments made have been addressed.
The investment manager should consider abstaining from making investments related to the vehicle that, on balance, are likely to adversely affect desired sustainable outcomes.
The investment manager, together with the governing body of the vehicle, should establish a framework which defines how the vehicle will act as a ‘responsible owner’ of real estate assets.
The investment manager should act as a responsible owner by engaging with tenants, property companies, and other stakeholders related to the vehicle and developing programmes and policies that seek to improve the social and environmental performance of the real estate assets held by the vehicle. These programmes should be aligned with the overall sustainability strategy of the vehicle, as appropriate. Considerations driving the development of such programmes could include, among others, property types and uses, and cooperation, and forms of engagement with tenants and community interests. The investment manager should clearly describe the sustainability criteria, targets, and the expected impact of such programmes.
The investment manager, together with the governing body of the vehicle, should implement INREV’s Guidelines on sustainability, as appropriate.
The INREV sustainability best practice recommendations aim to provide a coherent framework for sustainability reporting in line with annual financial reporting and present a clear picture from the vehicle’s strategy through environmental key performance indicators.
The investment manager should adopt INREV’s Guidelines, as appropriate, when including sustainability in a long-term strategy and translating it into objectives and annual targets for implementation.
More information on the areas to be considered will be included in the new Sustainability module (end of 2022 release).
For more information on sustainability reporting guidelines see the Reporting module of the INREV Guidelines.
Club deals and joint ventures
In this section, we deal with variations in the application of the (Vehicle) Governance Guidelines to club deals and joint ventures. In practice, there can be many forms of regulated and unregulated vehicles including a range of separate accounts with single investors, club deals with a limited number of investors, and joint ventures where investors share control. In these situations, contractual arrangements, and in particular management and performance fees, tend to be very specific and customised to the circumstances and to the parties involved.
Control over investments
Investors participating in club deals and joint ventures are usually seeking greater control over the strategy and activities of the vehicle. They generally set more focused investment strategies and seek greater control of investment decisions. In addition to the matters set out in G30 of the Guidelines normally reserved for investors, investors are therefore likely to want to control the other matters such as the timing of acquisition and disposal of real estate assets.
The role of independent non-executive directors in club deals and joint ventures
In circumstances where a small number of investors are actively involved in the running of a vehicle, it would be expected that investors who participate in club deals and joint ventures would have the personnel resources to engage fully in the activities of the vehicle, without creating any management inefficiencies, such as delay in ratifying decisions. In these circumstances, the role of the independent non-executive directors may not be relevant.
1.1 Vehicle documentation for reporting framework
|
The basis, frequency and timing of delivery of the audited and non-audited financial statements, and management reporting for investors should be defined in the vehicle documentation. |
Annual |
Interim |
|
For annual reports, define any terms or KPIs not already included in Definitions. |
Annual |
|
1.2 Content and frequency of reporting
|
The quantitative information presented in the SDDS should be provided either using the SDDS template proposed by INREV or otherwise disclosed in annual and interim reporting to investors. |
Annual |
Interim |
|
The financial statements provided in the annual report to investors should be audited. |
Annual |
|
|
Elements of the overall package of annual and interim reporting to investors, however configured, should be internally consistent.
For instance, information presented in the manager, property and other reports should be consistent with information in the SDDS template, if separate, and the financial statements. Also, the basis of preparation of information contained in interim reporting to investors should be consistent with annual reporting to investors. Any differences or exceptions should be explained. |
Annual |
Interim |
|
Full year-end audited financial statements should be provided to investors. These should contain:
SDDS references: 1.13 Accounting standards, 1.15 Vehicle Auditor, 3.3 Cash and cash equivalents, 3.4 Total Number of Outstanding Shares, Section 11. details of fees paid to the manager and affiliates, 13.6 Net Capital Contributed – During the Reporting Period. |
Annual |
|
|
Full year-end audited financial statements should be provided to investors. These should contain:
SDDS references: 1.13 Accounting standards, 1.15 Vehicle Auditor, 3.3 Cash and cash equivalents, 3.4 Total Number of Outstanding Shares, Section 11. details of fees paid to the manager and affiliates, 13.6 Net Capital Contributed – During the Reporting Period. |
Annual |
|
|
Abridged interim financial statements should be provided to investors. Investment managers and investors should agree on the format of the interim financial statements. |
|
Interim |
|
For interim reports, use the same terminology and KPIs as used in the annual report. If new terms or KPIs are used, the investment manager should explicitly define them. Same as RG06 |
|
Interim |
|
For annual reports, describe the overall status of the vehicle’s INREV compliance.
Management (in the event that, for instance, the INREV Governance framework is not being adopted) and/or independent non-executive directors/those in charge of governance should review this statement and the basis for making it. |
Annual |
|
|
For interim reports, disclose the level of compliance with INREV interim reporting guidelines. Reference should be made to the annual report for detailed description of the level of compliance with reporting requirements. |
|
Interim |
|
Disclose that the interim report should be read in conjunction with year-end investor report. |
|
Interim |
1.3 Vehicle characteristics and governance
|
General information on the vehicle characteristics including, among others, name, domicile, legal form, vehicle style (by reference to INREV’s vehicle style definitions), description of vehicle structure, vehicle currency, vehicle year-end. 1.1 Vehicle Name, 1.7 Vehicle Jurisdiction, 1.8 Legal Vehicle Structure, 1.9 Vehicle Structure, 1.12 Vehicle Reporting Currency, 1.6 Vehicle Financial Year-end |
Annual |
Interim
Describe material changes |
|
Contact details of the vehicle. |
Annual |
Interim Describe material changes |
|
Describe the vehicle’s governance framework and the organisation of management and administration. For example, identify the AIFM, administrators, trustees, depositories, general partners, risk managers, investment advisors, portfolio managers, asset and property managers, valuers and other key functions as appropriate. Identify and discuss vehicle governance and oversight frameworks such as the use of independent non-executive directors and investor or other special committees, and how they operate.
SDDS references: |
Annual |
Interim
Describe material changes |
|
Describe the structure and governance principles of the investment manager organisation (rather than the vehicle), for instance on potential areas of conflict between alternative capital sources under management, conflict management processes, investment committee composition and processes, alignment through promote distribution etc. |
Annual |
Interim
Describe material changes |
|
Describe the level of adoption of the INREV governance best practices. |
Annual |
Interim
Describe material changes |
|
Annual and interim reports should describe any material changes to the level of compliance with the (vehicle) governance framework defined in the vehicle documentation. |
Annual |
Interim
Describe material changes |
|
Present a short, high-level summary of the vehicle strategy.
SDDS references: |
Annual |
Interim
Describe material changes |
|
Describe key milestone dates in the life of the vehicle (including vehicle term, investment period, closing dates, etc).
SDDS references: |
Annual |
Interim
Describe material changes |
|
Describe the investment stage of the vehicle in the context of key milestone dates, by sector/geography.
SDDS references: |
Annual |
Interim
Describe material changes |
2.1 Capital structure and vehicle-and asset-level returns
|
Annual and interim reports should disclose any changes to the capital structure of the vehicle. |
Annual |
Interim
Describe material changes |
|
In a tabular format, disclose the status of investor commitments and capital invested in the vehicle, and in particular:
In addition, the investment manager should disclose the expected drawn commitments, returns of capital/redemptions, capital calls and redemption requests for the following period. The investment manager may include assumptions used to determine these projections. |
Annual |
Interim Describe material changes |
|
Summarise and comment on key investor returns and related metrics which are defined in Section 7 of the SDDS (including comparison with targets, points of reference and indices when relevant).
SDDS references: |
Annual |
Interim |
|
|
||
|
In addition, the investment manager may also analyse the performance at an aggregated asset level for a group of assets or for each operating asset during the period by reference to relevant asset-level KPIs defined by INREV as well as the currency used in the performance measurement of each asset.
INREV Performance Measurement module reference: |
Annual |
|
|
Disclose and discuss details of share class NAVs (accounting NAVs, trading NAVs, INREV NAVs as applicable) and variances since prior period-end. |
Annual |
Interim |
|
Disclose and discuss distributions made during the period and subsequent to the period-end (link with underlying transactions such as property disposals where relevant).
SDDS references: |
Annual |
Interim |
|
Summarise how the vehicle’s fee structure impacts the vehicle’s capital structure and vehicle-level returns; for instance, describe any fee capitalisation arrangements.
SDDS references: |
Annual |
Interim
Describe material changes |
|
INREV NAV disclosure requirements Investment managers should make the following disclosures related to the NAV computation:
Explanatory notes to the reconciliation should describe key assumptions, methods used, and in particular:
The investment manager should, however, estimate and disclose the amount of disposal costs likely to be incurred on the sale of properties, taking account of the intended method of exit, assuming an exit without duress and in the current market environment;
|
Annual |
Interim
Describe material changes |
|
The constituent elements of the fee and expense metrics calculation should be disclosed in the annual report. |
Annual |
|
|
The information in the following tables should be disclosed in the annual report. |
Annual |
|
|
A disclosure table should be presented that provides an analysis of all the components of the fees charged by the investment manager, including any element of performance fee or carried interest or any other such arrangement, or by any other affiliate or related party of the investment manager.
See table in Fee and expense metrics module. SDDS references: |
Annual |
|
|
Summarise and discuss macro-economic factors which have, or may have, a material impact on the results of the vehicle.
This should include information such as economic growth factors and their impact on the demand for new rentals, the supply of property or availability of development opportunities. Include also details of material changes in the tax and regulatory environment and debt financing conditions, such as movements in interest rates and financing terms. |
Annual |
|
|
Tabulate for clarity a summary of significant events affecting the vehicle during the period as well as significant events anticipated in the 12 months from the balance sheet date. Provide a brief commentary on significant activities of the vehicle including acquisitions, disposals, distributions to investors, and changes to the overall financing or capital structure during the period. |
Annual |
Interim |
|
Analyse the performance of the vehicle during the period by reference to relevant vehicle-level KPIs defined in sections 3.1, 3.2 and 5 of the SDDS, which include information such as the NAV, key financial ratios, valuation results, realised gains and losses and information related to operating results.
SDDS references: |
Annual |
Interim |
|
Describe and comment on the structure of fee arrangements with investment managers and affiliates (including details of any relevant capitalisation or disbursement programs, year-end balances, amounts earned, accrued, paid or clawed back). Link accrued and un-accrued amounts with the realisation of performance criteria.
When applicable, this description should include details of:
Refer to the relevant sections of the financial statement disclosures for details as appropriate. SDDS references: |
Annual |
Interim
Describe material changes |
|
Disclose the NAV of the vehicle and the basis of calculating it. Disclose to what extent the INREV NAV guidelines have been used to determine such NAV, and include details of adjustments made to reconcile the NAV with the financial statements. Include a description of the judgments and estimates used when determining the INREV or other NAV.
SDDS references: See G09 for Open end fund pricing best practice |
Annual |
Interim
Disclose the NAV and material changes |
|
Discuss the current period performance in the context of the track record of the vehicle (for instance, over the last five years). |
Annual |
|
|
Describe all significant subsequent events affecting the vehicle since the period-end and comment on their impact on vehicle performance. Information at the asset level may be disclosed, if relevant. |
Annual |
Interim |
|
Describe the likely developments in the vehicle’s activities and operations in the foreseeable future and how this is aligned with achieving the overall vehicle objectives. |
Annual |
|
|
Describe the impact of potential or implemented regulatory changes that affect or may affect the vehicle’s and assets’ operations and performance. |
Annual |
|
|
Describe and comment on any significant one-off events having an impact on the results for the period. This disclosure should include, for instance, costs related to litigation, abort deal costs, one-off property related expenses and any other extraordinary or exceptional items. |
Annual |
Interim |
|
Describe and comment on current developments in the vehicle’s investment property portfolio by reference to, for example, occupancy level, tenant profile by area occupied, average rent, the percentage of newly developed property that has been let or sold, etc.
The following information may be disclosed for each asset, including but not limited to:
See RG23 for financial performance returns recommended at asset level. SDDS references: INREV Asset Level Index references/ identifiers: |
Annual |
Interim |
|
Describe the business rationale for any significant acquisitions or disposals during the period, and their impact on the vehicle’s financial position and results.
SDDS references: |
Annual |
Interim |
|
For interim reports, show a summary of the portfolio allocation by sector and geography.
SDDS references: |
|
Interim |
|
For annual reports, show a summary of the portfolio allocation by sector and geography and comment on it in the context of the investment strategy of the vehicle (refer to the detailed portfolio allocation sheet in the SDDS).
SDDS references: |
Annual |
|
|
Disclose the nature and frequency of property valuations, explaining how they reflect the expectations of investors and ongoing business needs of the vehicle (refer to PV15 of the Property Valuation module).
Describe the procedures and internal controls put in place to appoint external valuers and oversee the valuation process to ensure it is objective and free from any bias and not influenced by potential conflicts of interest.
At a minimum, disclose:
Summarise and comment on the current property valuation methods and outcomes.. Include information on the methodologies used and the key market inputs and assumptions such as yields, discount or capitalisation rates. Describe any specific or special assumptions used in the property valuations such as assumed disposal scenarios, assumed capital expenditure and the treatment of transfer taxes.
At a minimum disclose (refer to PV21):
SDDS references: |
Annual |
Interim
Describe material changes |
|
Disclose the proportion of the property portfolio which has been subject to an independent external valuation along with references to the name and qualifications of the valuers, and the date of such valuations. Include details of any modifications or reservations disclosed in the valuers’ reports.
See also RG14. Disclose the qualifications of the members of the governing body of the vehicle, who oversee the valuation process (refer to PV11 of the Property Valuation module). SDDS references: |
Annual |
|
|
Provide an analysis of like-for-like movements in the market value and rental income of properties held in the current and prior periods. |
Annual |
|
|
Comment on the development of rental growth and expected rental values by sector/geography. The market data provided should be relevant to the specific activities of the vehicle. |
Annual |
Interim Describe material changes |
|
Describe recent leasing renewal activity, including incentives given, rent-free periods and tenant improvement programs and expected future changes by reference to market trends in new lease terms. |
Annual |
Interim Describe material changes |
|
Summarise and comment on the development of vacancy rates and its impact on vehicle performance and future prospects.
SDDS references: |
Annual |
Interim Describe material changes |
|
Discuss the development of property yields, including yields by sector and geography.
SDDS references: |
Annual |
Interim Describe material changes |
|
Discuss the development of other key property information by sector and geography, when relevant. |
Annual |
Interim Describe material changes |
|
Identify and comment on rental concentration risk (either by expected rental value or actual rental value). |
Annual |
Interim Describe material changes |
|
Describe and comment on the level of property operating costs and, if significant, discuss the impact of specific factors such as service charge recoveries, bad debt write-offs and other property operating costs related to the vehicle’s performance. |
Annual |
Interim
|
|
If material, describe the impact of development activities on the vehicle by reference to, among other things, its investment strategy, development pipeline, stage of completion of developments, status of the sale of units or rental strategies. |
Annual |
Interim
|
|
Discuss and quantify significant capital expenditure programs either planned or being undertaken during the period for existing properties, such as renovations, extensions and improvements.
SDDS references: |
Annual |
Interim |
|
Quantify the amount of property development being undertaken during the period. Include details of the number of properties completed and either transferred to investment properties or sold during the period. Include details of development costs, related commitments, and the method of accounting for properties under development.
SDDS references: |
Annual |
Interim |
|
Describe and quantify the vehicle’s position in joint ventures and associate investments. Include details of, among other things, the methods of accounting for such positions, how they impact the overall financial and risk profile of the vehicle, and their business prospects. |
Annual |
Interim |
|
Summarise and comment on returns from non-property investments such as positions in other vehicles, listed securities and other assets. |
Annual |
Interim |
|
In exceptional circumstances, deviations by investment managers from property valuations as determined by external property valuers should be clearly explained and disclosed.
If there is a disagreement between the investment manager and the property valuer on the market value parameters, these parameters must be clearly explained and disclosed. See more details at PV23 of the Property Valuation module. Whatever the circumstances, appropriate internal procedures (including escalation measures) should be followed by the management in the event of valuation adjustments. |
Annual |
Interim |
|
Describe the principal risks faced by the vehicle. Describe and analyse the vehicle’s current exposure to such risks. Principal risks will cover, among others, areas such as:
As an integral part of the disclosure of the description and analysis of principal risks and their current status, the specific ESG considerations and risks should be included – see ESG15 of the Sustainability module. Exposure to shareholder loans should be analysed separately from external loans. |
Annual |
Interim Describe material changes |
|
Describe the overall organisation of the risk management function and refer to key policies and procedures to monitor and mitigate exposures to key risks and uncertainties.
|
Annual |
Interim Describe material changes |
|
Summarise the vehicle’s current risk appetite and tolerance levels. Describe the level of compliance with this framework and comment on any specific breaches and remedial plans. |
Annual |
Interim Describe material changes |
|
In a tabular form, give details of the overall financing structure of the vehicle. Include information such as financing costs, lender, security arrangements, recourse arrangements, maturity, and interest and loan amortisation terms. Refer to the financial statement disclosures as appropriate.
SDDS references: |
Annual |
Interim Describe material changes |
|
Comment on the overall financing structure of the vehicle by reference to its overall strategy and future prospects. Such commentary should provide information on the status of material new debt arrangements, early debt reimbursements, and debt restructuring programs relevant to the period or anticipated in the foreseeable future.
SDDS references: |
Annual |
Interim Describe material changes |
|
Describe and comment on the vehicle and SPV’s current key financing ratios, for example, interest service coverage ratio, property level loan to value gearing ratio and the vehicle’s general level compliance with such ratios. SDDS references: |
Annual |
Interim Describe material changes |
|
Describe and comment on the use of derivative financial instruments and their impact on the vehicle’s performance. Disclose their key terms and fair values and their treatment in the financial statements and NAV.
SDDS references: |
Annual |
Interim Describe material changes |
|
Describe and comment on the vehicle’s overall financing income and charges by reference to the vehicle’s financing structure, cash balances, changes in market conditions etc.
SDDS references: |
Annual |
Interim Describe material changes |
The sustainability reporting requirements and recommendations for ESG-related aspects are presented below.
The investment manager should disclose this information to investors in a clear and concise manner. INREV does not prescribe the structure and format of ESG reporting. This can either be disclosed in an ESG-dedicated section, embedded in other sections of annual/ interim reports, or presented as a standalone sustainability report / integrated report.
|
The investment manager, in collaboration with the governing body of the vehicle, should clearly state in the constitutional documents the vehicle’s intended level of adoption of the Sustainability guidelines and perform an annual self-assessment of the effectiveness of its intended implementation.
To enable investors to fully understand the nature and extent of compliance of the vehicle’s intended governance framework with the INREV Guidelines, an initial as well as an ongoing annual self-assessment should be performed by the investment manager and the governing body of the vehicle, and the results disclosed appropriately in their reporting to investors. See also RG16 and RG17. |
Annual |
|
|
The investment manager should describe in their reporting to investors the overall ESG strategy and objectives of the vehicle together with the associated targets and how these goals will be facilitated by the organisation and governance framework of the vehicle.
The investment manager should include in its ESG reporting a description of the vehicle’s ESG strategy and the process through which it was derived. This description should include but is not limited to the following information:
Certain legacy vehicles or funds which opt not to have a coherent ESG strategy and objectives should nonetheless disclose this status and provide any relevant explanations. |
Annual |
|
|
The investment manager should specifically disclose in their reporting to investors the climate change strategy and objectives of the vehicle.
As part of ESG reporting, the investment manager should consider the following aspects related to climate change:
Certain legacy vehicles or funds which opt not to have a coherent climate change strategy should nonetheless disclose this status and any relevant explanations. |
Annual |
|
|
The investment manager should disclose, as part of their reporting to investors, ESG initiatives at the property portfolio level and comment on the progress made against any specific targets as defined in the vehicle’s ESG strategy.
When reporting to investors on ESG initiatives related to asset strategies and business plans, the investment manager should consider the aspects set out under ESG08, ESG12, ESG13 and ESG14. These aspects include but are not limited to the following information:
Certain legacy vehicles or funds which opt not to have a coherent ESG asset management strategy should nonetheless disclose this status and any relevant explanations. |
Annual |
|
|
The investment manager should disclose and explain a set of essential key performance indicators which are aligned with the overall strategy of the vehicle.
The investment manager should define a set of key performance indicators, which cover the entire portfolio, both under the manager’s and the occupiers’ operational control, in accordance with ESG objectives of the vehicles, and include the required INREV ESG vehicle-level KPIs.
Reference should be made to ESG factors covered in Table 1 of ESG02 of the Sustainability module.
For the purposes of reporting on governance matters, the results of self-assessment against INREV’s governance best practices should be included (see reporting guidelines of the Governance module).
Data disclosure may be presented in line with widely recognised methodologies (eg GRESB, CRREM, GRI, TCFD, SBTi) (see list of abbreviations in Appendix 4 under Tools and Examples). If such a methodology is adopted, the investment manager should disclose the specifics of the calculation methodology applied, explaining for example, how normalisation factors and what types of energy or emissions were included in the ratio.
Disclosures and explanations should consider both absolute and like-for-like data.
Management’s analysis and discussion of data presented, eg intensity ratios and emission data by property type, should be included.
Disclosures should clarify the degree to which estimated data was used in determining overall values for elements that are outside of the manager’s operational control, or for which data could not be reliably collected.
The INREV ESG vehicle-level KPIs include “data coverage” indicators to promote data transparency. If the data related to any of the indicators is not available or not applicable, the investment manager should explain this. For instance, whereas the data for energy consumption and renewable energy under the manager’s control should be available, the data under the occupiers’ control or allocation by floor area may not be available or may need to be estimated.
The investment manager may also consider reporting the essential KPIs on an asset-level basis. If the investment manager chooses to adopt this recommendation, the related data definitions set above for vehicle-level reporting should be followed. |
Annual |
|
|
Key Factors |
Indicator ID |
Indicator |
Units of Measure |
|---|---|---|---|
|
Environmental KPIs (annual disclosure) |
|||
|
Energy consumption1 |
ENV1 |
Energy consumption, for the proportion of portfolio that is in landlord’s control |
kWh |
|
ENV2 |
Energy consumption, for the proportion of portfolio that is in tenant’s control |
kWh |
|
|
ENV32 |
Estimated energy consumption (separate disclosure for the proportion of portfolio that is in landlord’s and tenant’s control) |
kWh |
|
|
ENV4 |
Total energy consumption (ENV1 + ENV2 + ENV3) |
kWh |
|
|
ENV53 |
Total energy consumption data coverage, by area4 |
% of m2 |
|
|
ENV63 |
Energy intensity (based on ENV4) (SFDR Annex 1 Table 2 Additional Real Estate PAI – 19) 4 |
kWh / m2 |
|
|
ENV73 |
Energy intensity (based on ENV4), by property type4 |
kWh / m2 |
|
|
Renewable Energy |
ENV83 |
Generated and consumed on-site by landlord (SFDR Annex 1 Table 1 Universal PAI - 5) |
kWh |
|
ENV93 |
Generated on-site and exported by landlord (SFDR Annex 1 Table 1 Universal PAI - 5) |
kWh |
|
|
ENV103 |
Generated and consumed on-site by third party or tenant (SFDR Annex 1 Table 1 Universal PAI - 5) |
kWh |
|
|
ENV113 |
Generated off-site and purchased by landlord (SFDR Annex 1 Table 1 Universal PAI - 5) |
kWh |
|
|
ENV123 |
Generated off-site and purchased by tenant (SFDR Annex 1 Table 1 Universal PAI - 5) |
kWh |
|
|
ENV13 |
Renewable energy data coverage, by area4 |
% of m2 |
|
|
Greenhouse Gas Emissions (GHG) |
ENV142 |
Direct emissions – Scope 1 (SFDR Annex 1 Table 2 Additional Real Estate PAI – 18) |
tonne CO2e |
|
ENV152 |
Indirect emissions – Scope 2 (SFDR Annex 1 Table 2 Additional Real Estate PAI – 18) |
tonne CO2e |
|
|
ENV162 |
Indirect emissions – Scope 35 (SFDR Annex 1 Table 2 Additional Real Estate PAI - 18) |
tonne CO2e |
|
|
ENV172 |
Estimated emissions, by scope 1, 2, 3 |
tonne CO2e |
|
|
ENV18 |
Total operational carbon (ENV14 + ENV15 + ENV16 + ENV17) (SFDR Annex 1 Table 2 Additional Real Estate PAI - 18) |
tonne CO2e |
|
|
ENV193 |
Total operational carbon data coverage, by area4 |
% of m2 |
|
|
ENV203 |
Operational carbon intensity (based on ENV18) (SFDR Annex 1 Table 1 Universal PAI - 3) 4 |
tonne CO2e / m2 |
|
|
ENV213 |
Operational carbon intensity (based on ENV18), by property type4 |
tonne CO2e / m2 |
|
|
Climate Change – Transition Risks and Opportunities |
ENV22 |
Exposure to fossil fuels through real estate assets (SFDR Annex 1 Table 1 Real Estate PAI – 17) |
% of AUM |
|
Climate Change – Physical Risks and Opportunities |
ENV232 |
Proportion of assets that fall into low / medium / high physical risk categories |
% of AUM |
|
Water Consumption |
ENV24 |
Water consumption, for the proportion of portfolio that is in landlord’s control |
m3 |
|
Waste Management |
ENV25 |
Waste generated, for the proportion of portfolio that is in landlord’s control |
tonne |
|
Building Certificates |
ENV263 |
Percentage of assets with a certificate6, by area4 |
% of m2 |
|
Energy Ratings |
ENV273 |
Percentage of assets with an energy rating6, by area4 |
% of m2 |
|
ENV28 |
Exposure to energy-inefficient real estate assets (SFDR Annex 1 Table 1 Real Estate PAI 18) |
% of AUM |
|
Notes:
1. Energy consumption figures include total of different energy types used, including the renewable energy sources (see the details in Appendix 1).
2. Explain the methodology used to calculate this indicator and/or to determine the components used.
3. KPIs aligned with INREV ALI ESG data fields.
4. Recommended unit of measure for data coverage is by area, investment managers may identify and report KPIs on value (AUM basis).
5. Scope 3 emissions in the INREV sustainability reporting guidelines are calculated as the emissions associated with tenant areas, unless they are already reported as Scope 1 or Scope 2 emissions. Scope 3 emissions do not include embodied carbon as it is listed separately as a recommended KPI under Appendix 1. Scope 3 emissions cover only operational activities of the portfolio of the vehicle and do not include emissions generated through the organisation’s operations or by its employees, or upstream supply chain emissions.
6. For the full list of certificates/energy rating schemes, please see INREV ALI sustainability data fields which is referenced to GRESB Asset Spreadsheet
|
The investment manager should report to investors any material information related to specific events or initiatives linked to the vehicle’s ESG strategy or status.
During the lifecycle of a vehicle, there may be situations or unforeseen events, including ESG-related issues, that the investment manager understands to be material to the outcomes of investors, which warrant timely and clear communication to investors outside regular reporting obligations. The investment manager, together with the governing body of the vehicle, should enable such communications to take place through appropriate channels such as written reports and/or convening meetings. The information communicated should be relevant and reliable – see ESG11 and ESG16 of the Sustainability module for details on reporting framework. |
Annual |
|
|
The investment manager should provide a statement of the current level of compliance with applicable ESG legislation and its exposure to possible future regulatory developments.
ESG reporting should detail the vehicle’s approach for ensuring compliance with current legislation relating to ESG issues and preparations for any future legislation that may be undertaken over its life cycle (see ESG01 of the Sustainability module). It should detail objectives and specific actions for ensuring compliance with current ESG regulations and describe the steps to prepare for any upcoming legislation.
The investment manager should report against compliance with current legislation requirements and objectives and associated targets for preparations for upcoming legislation.
The investment manager should determine and disclose the level of disclosure for the vehicle with respect to the regulatory requirements that it is subject to (considering the regulatory requirements, such as, SFDR Article 6, 7, 8, 9, 11 and EU Taxonomy regulation).
The investment manager should describe and explain whether the vehicle is obligated to report under SFDR and if so whether its investment strategy meets the requirements. |
Annual |
|
|
The investment manager should provide an adequate summary and current status of the principal ESG risks faced by the vehicle as part of their overall risk- related disclosures.
Principal risks may cover, among others, areas specified in ESG15 of the Sustainability module. |
Annual |
|
|
The investment manager should disclose whether any ESG information reported has been verified or assured by a third-party.
If certain ESG data included in periodic reports have been externally verified or assured this should be disclosed and a link or reference to the external assurance report(s) or assurance statement(s) should be provided. |
Annual |
|
|
In addition to its overall obligations to report to investors a set of essential key performance indicators (RG73), the investment manager may consider and report a recommended set of performance measures relevant to the ESG objectives and associated targets set for the vehicle.
As well as complying with RG73, the investment manager may consider and report additional key performance indicators in accordance with the ESG objectives of the vehicle – see list of recommended KPIs for real estate investments in Appendix 1. Reference may be made to ESG factors covered in Table 1 of ESG02.
If the investment manager chooses to adopt the recommended disclosures, either at vehicle or asset level, data coverage, disclosures and explanations should follow the general and specific calculation requirements described under RG73. |
Annual |
|
The value of the property should be its unbiased market value or fair value.
The valuation methods include, individually or a combination of, among others:
Valuations of property under construction should be stated at market value. Refer to INREV NAV adjustments in the INREV NAV module . The valuation of property under construction should generally be based on the fair value at completion less costs to complete (residual approach). Appropriate focus should be made on the sensitivity associated with input assumptions given the development status of the property.
However, in certain circumstances, the fair value may be determined by using the initial cost of acquisition plus subsequent construction costs. An example is during the initial phases of construction when the level of uncertainty is high. Particular care should be taken to ensure that construction and materials costs are up to date. Irrespective of local legal requirements or contractual obligations, such as vehicle regulations, the valuation methodology applied should lead to market value as defined by these guidelines.
The investment manager should ensure that external valuers comply with applicable laws and a recognised international professional valuation standards such as IVS, RICS and EVS.
All parties involved in the valuation process should strive to meet the highest professional standards of ethics and integrity.
See for more detail the Governance module (G03) and other relevant valuation standards for ethical requirements related to the conduct of the valuer.
The vehicle documentation should include details of the valuation procedure along with the frequency and methodologies used to value all material assets and liabilities of the vehicle, including property.
As a key component of the vehicle’s legal framework, the investment manager should describe the underlying valuation methodologies, procedures performed, specific pricing methodologies (see INREV Governance module for more information) and special assumptions applied for the valuation of hard-to-value assets and liabilities, as appropriate.
The investment manager should design a valuation process that is aligned with the interests of investors and other stakeholders and takes account of the nature and style of the vehicle concerned.
The investment manager together with the governing body of the vehicle should ensure that the valuation process oversight performed by the investment manager is unbiased.
This oversight process should be independent of any potential conflicts of interest such as those arising from management or performance fee arrangements and from other services provided by related parties and associates of the external valuer and its organisation, such as brokerage.
The investment manager should ensure that the external valuer has a clear understanding of the context of their work and the purpose of the valuation.
The investment manager should ensure that the compensation of the external valuer fairly reflects the services provided and should not be directly linked to the outcome of the valuation.
The investment manager should ensure that the appointed external valuer is independent.
The external valuers involved in the valuation process should identify and disclose any threats to their independence or potential conflicts of interest and either manage or avoid them. See also PV11 for appropriate professional qualification requirements that set relevant rules of conduct and ethical standards.
In certain exceptional circumstances, the investment manager, after careful consideration by their valuation oversight function, may decide to adjust the values as determined by the external valuer to reflect their best estimates of market value in specific circumstances such as distressed situations, liquidations and wind-ups reflecting a non-going concern basis.
Such decisions should always be taken in the best interests of investors and other stakeholders and be subject to full scrutiny by the governing body of the vehicle.
The governing body of the vehicle, together with the investment manager and any relevant external parties, should ensure that they have the appropriate skills, market expertise, capacity and competence to estimate the market value of property in the best interests of investors.
This includes the requirement of any external valuer engaged to have the appropriate professional qualifications to perform their work, such as RICS Registered Valuer status, as well as sufficient market understanding to perform a robust valuation.
Given the subjective nature of property valuations and their importance to the financial framework, the governing body of the vehicle should perform effective scrutiny and actively engage with appropriate parties and make their own sound, objective and appropriate decisions when considering the determination of market value in the best interests of investors.
The investment manager should ensure that all parties involved in the property valuation process of the vehicle are adequately trained, familiar with the markets in scope, capable of challenging the work of the external valuer, and have access to appropriate educational programmes.
The investment manager, through its key members of the valuation function, and together with the governing body of the vehicle, should have the capacity and devote adequate time and resources to effectively oversee the valuation process.
The investment manager, together with the governing body of the vehicle, should design and operate an effective system of internal controls over a vehicle’s property valuation process.
Control objectives should include, but are not limited to:
The governing body of the vehicle should undertake a review of the continuing appointment or re-appointment of the external valuer on a regular basis and at least once every three years.
The assessment of the external valuer firm is an ongoing process. A formal assessment should take place at least once every three years, with the objective that the external valuer firm is the best-suited valuer to perform the valuation. The results of the assessment should be reported to investors.
The assessment may result in a rotation of the external valuer firm. The assessment should also include an evaluation of whether the external valuer firm is properly insured against claims and its compliance with regulations, for example, the Alternative Investment Fund Managers Directive (AIFMD) in Europe. In the event of rotation, there should not be any affiliation between the external valuer firms.
See also G25 of the INREV Governance module for guidelines on reviewing the performance of other service providers.
The investment manager should ensure that property valuations are performed at least once a year. The frequency of valuations should be described in the vehicle documentation and should reflect the expectations of investors and the ongoing business needs of the vehicle concerned, such as vehicle pricing considerations.
At a minimum, the scope of external property valuations should include consideration of all properties once a year. More frequent valuations may be required depending on economic circumstances or investor needs. Certain market conditions may present significant uncertainty and volatility requiring more frequent valuation updates. In addition, transactions such as the issuance or redemption of units/shares in certain vehicle types may require specific valuations.
The investment manager should ensure that the external valuer provides a comprehensive valuation report, in line with professional valuation standards, to enable them to adequately review and assess their work.
The external valuer should include in the valuation report key information regarding the valuation method used for each individual property type, such as investment property, property held for sale, property under construction, and ground leases. The scope of work and disclosures should be in line with the relevant valuation standards and their minimum requirements. In addition, all applicable material valuation inputs and market assumptions should be clearly communicated and explained.
Although external valuers may consider different valuation methodologies, the valuation should result in a single number.
There may be situations where different valuation outcomes need to be considered and resolved when determining a fair value. For instance:
In these situations, the investment manager should determine an appropriate valuation methodology that results in a single number.
The fair value of properties used by the investment manager to determine the NAV of the vehicle should be aligned with the requirements of the INREV NAV module.
For instance, the allocation of transfer taxes and purchasers’ costs between a buyer and seller in different structures and market situations should be considered and appropriately reflected (see INREV NAV module).
The governing body of the vehicle should ensure that communication with investors is balanced and fairly represents the activities of the vehicle.
In addition to respecting contractual and reporting obligations, the investment manager should provide further clarity, and timely and accurate information to investors and/ or key stakeholders, as relevant. In pursuing this responsibility, the governing body of the vehicle should always consider the best interests of investors and confidentiality considerations. Information provided to investors should include but is not limited to:
During the lifecycle of a vehicle, the investment manager may decide to adjust the agreed-upon values as determined by the external valuer to reflect their best estimates of market value in certain exceptional circumstances related to the vehicle.
Examples of such exceptional circumstances where factual and objective information support a necessary adjustment include, among others, distressed situations, portfolio sales, liquidations, and vehicle wind-ups reflecting a non-going concern basis of accounting. These adjustments should always be made in the best interests of investors and other stakeholders, and be subject to full scrutiny by the governing body of the vehicle. In such circumstances, timely and clear communication to investors outside of the regular reporting obligations of valuation outcomes may be required. The investment manager, together with the governing body of the vehicle, should enable such communications to take place through appropriate channels such as written reports and/or convening meetings.
The investment manager should ensure that appropriate internal procedures are clearly documented and can be applied in exceptional circumstances, where there may be disagreements between the investment manager and the external valuer on the underlying market value of certain individual assets. Such deviations should be fully communicated and disclosed to investors.
In such exceptional circumstances where the investment manager and the external valuer cannot reconcile their views the market value, as determined by the investment manager, should be reported to investors including full disclosure to justify the deviation from the market value arrived at by the external valuer.
Whatever the circumstances, appropriate internal procedures (including escalation and oversight measures) should be followed by the investment manager and the governing body of the vehicle in the event of valuation adjustments. These deviations and disagreements should occur very rarely and if so, more often in relation to more opportunistic investments, where, for example, the investment manager and the external valuer have different views as to the likelihood of a particular event occurring (because, for example, the investment manager is in discussion with governmental bodies, potential buyers or tenants).
Another example of deviation could relate to disagreements about value changes if there is a considerable time period between the actual date of external valuation and a later reporting date. An additional option in such circumstances is to instruct a further valuation.
The investment manager, together with the governing body of the vehicle, should regularly assess its level of performance in relation to its obligations towards investors and third parties, such as regulators, so far as it relates to the property valuation process, and make improvements as appropriate.
The investment manager and the governing body of the vehicle should be willing to accept a certain level of liability related to property valuations subject to reasonable indemnifications.
There should be a fair allocation of risk to the investment manager and the governing body of the vehicle. The extent of the liability should be in accordance with relevant laws and regulations and be described in the constitutional documents of the vehicle.
At the same time, the investment manager and the governing body of the vehicle should expect to be indemnified by the vehicle for losses, except in cases of fraud and culpable behaviours such as wilful misconduct or gross negligence.
The investment manager should ensure that the external valuer is willing to accept a certain level of liability related to property valuations subject to reasonable indemnifications.
The external valuer should be professionally liable and accountable for their work, in accordance with applicable regulations and the terms of their engagement.
The investment manager should provide or facilitate the provision of relevant and verifiable data and information to the external valuer in relation to sustainability factors that may impact valuation outcomes.
Such information and data could include, but is not limited to:
The investment manager should ensure that the external valuer assesses the sustainability information provided to them and its relevant elements in the input assumptions to the valuation model.
Sustainability factors should be taken into account in current valuation models based on the market evidence to support their inclusion.
The investment manager should ensure that the external valuer summarises and discloses how the sustainability data and information have been taken into account in their valuation process.
Information provided should take account of the investment manager’s obligations to report under various regulatory requirements (eg Sustainable Finance Disclosure Regulation (SFDR), EU Taxonomy). Further guidance on the nature of information exchange between external valuers and investment managers may be included as part of recognised valuation frameworks.
In following the transparency principle (PV-P05) and its related guidelines, the investment manager should, in its reporting to investors, disclose whether sustainability factors have been taken into account when arriving at valuation outcomes.
The investment manager should report to investors whether sustainability factors were deemed material during the valuation process and to what extent they were reflected in market value.
Appendix 2 illustrates a range of potential qualitative and quantitative disclosures in relation to valuation inputs that could be materially impacted by sustainability factors.
The fund documentation should include details of valuation rules and procedures, pricing methodology including the methods used in valuing hard-to-value assets, and the frequency of valuation for all material assets and liabilities of the vehicle.
The fund documentation should disclose the frequency of the NAV calculation.
The INREV NAV best practice requirements for the calculation of an adjusted NAV should be used for both open end and closed end vehicles. In this section direct links will be made to IFRS as a basis for calculating the required adjustments and, if needed, to other fair value concepts. If another basis of GAAP is used, further adjustments may be required to align with IFRS as the basis for determining an INREV NAV. References to further guidance by INREV on the interpretation of fair value and provision accounting will also be included.
A vehicle NAV calculated in accordance with IFRS should be adjusted for the following items to calculate an INREV NAV:
| Total | |
|---|---|
| NAV per the IFRS financial statements | x |
| Reclassification of certain IFRS liabilities as components of equity | |
| a) Effect of reclassifying shareholder loans and hybrid capital instruments (including convertible bonds) that represent shareholders long term interests in a vehicle | x |
| b) Effect of dividends recorded as a liability which have not been distributed | x |
| NAV after reclassification of equity-like interests and dividends not yet distributed | x |
| Fair value of assets and liabilities | |
| c) Revaluation to fair value of investment properties | x/(x) |
| d) Revaluation to fair value of self-constructed or developed investment property | x/(x) |
| e) Revaluation to fair value of investment property held for sale | x/(x) |
| f) Revaluation to fair value of property that is leased to tenants under a finance lease | x/(x) |
| g) Revaluation to fair value of real estate held as inventory | x/(x) |
| h) Revaluation to fair value of other investments in real assets | x/(x |
| i) Revaluation to fair value of indirect investments not consolidated | x/(x) |
| j) Revaluation to fair value of financial assets and financial liabilities | x/(x |
| k) Revaluation to fair value of construction contracts for third parties | x/(x |
| l) Set-up costs | x/(x) |
| m) Acquisition expenses | x/(x |
| n) Contractual fees | x/(x) |
| Effects of the expected manner of settlement of sales/vehicle unwinding | |
| o) Revaluation to fair value of savings of purchaser’s costs such as transfer taxes | x/(x) |
| p) Revaluation to fair value of deferred taxes and tax effect of INREV NAV adjustments | x/(x |
| q) Effect of subsidiaries having a negative equity (non-recourse | x/(x) |
| Other adjustments | |
| r) Goodwill | (x) |
| s) Non-controlling interest effects of INREV adjustments | x/(x) |
| INREV NAV | x |
Reclassification of certain IFRS liabilities as a component of the INREV NAV:
a) Effect of reclassifying shareholder loans and hybrid capital instruments (including convertible bonds) that represent shareholders’ long term interest in a vehicle
Investors’ capital can take various forms aside from equity – examples include shareholder loans and hybrid capital instruments such as convertible bonds. Some vehicles are structured via a combination of equity participations and shareholder loans.
Shareholder loans and hybrid capital instruments are generally seen as part of the investors’ overall interest in the vehicle. They should be included as a component of equity in the INREV NAV and reclassified as such if they have been classified as liabilities in the financial statements of the vehicle under IFRS. The amount to be reclassified should reflect the corresponding carrying value of the liabilities in the IFRS accounts.
The existence of such instruments as part of the capital structure of a vehicle at its origination, or investor loans that are pari-passu to their equity stake and at off-market loan terms, are indicators, among others, that these items should be reclassified as part of the INREV NAV.
The reclassification should also take account of accrued interest, which is treated in a similar fashion to dividends.
b) Effect of dividends recorded as a liability which have not been distributed
Under certain circumstances dividends are recorded as a liability but have not yet been legally distributed. For the determination of INREV NAV, these accrued dividends should be reversed to the NAV.
Fair value of assets and liabilities
c) Revaluation to fair value of investment properties
If a real estate vehicle uses the option to account for investment properties under the cost model, this adjustment represents the impact on NAV of the revaluation of the investment property to fair value under the fair value option of IAS 40.
The effect of straight-lining of lease incentives, rent guarantees, insurance claims (for damages, lost rent, etc.) should be taken into account when valuing the property at fair value in accordance with IAS 40 and SIC 15 to ensure that any asset is not double-counted in the NAV.
d) Revaluation to fair value of self-constructed or developed investment property
If a real estate vehicle uses the option to account for self-constructed or developed investment property under the cost model, the adjustment represents the impact on NAV of the revaluation of the self-constructed or developed investment property to fair value under the fair value option of IAS 40.
e) Revaluation to fair value of investment property held for sale
Some investment properties may be classified as assets held for sale or as a group of assets held for sale. The carrying value of such investment properties depends on the chosen accounting treatment under IAS 40 (either fair value or cost).
The adjustment represents the impact on NAV of the revaluation of the investment property intended for sale, measured at fair value or cost, to the net realisable value (fair value less disposal costs).
f) Revaluation to fair value of property that is leased to tenants under a finance lease
Property that is leased to tenants under a finance lease is initially measured on a net investment basis and subsequently re-measured based on an amortisation pattern reflecting a constant rate of return.
The adjustment represents the impact on NAV of the revaluation of the finance lease receivable to fair value.
g) Revaluation to fair value of real estate held as inventory
Properties intended for sale and accounted for under IAS 2 (Inventory) are measured at the lower of cost or net realisable value in the financial statements. This adjustment represents the impact on the NAV of the revaluation of such properties to net realisable value (fair value less disposal costs). This adjustment should be included under the caption ‘revaluation to fair value of real estate held as inventory’.
Where the likely disposal date is more than one year from the date of the NAV computation, disposal costs should not be deducted from fair value in calculating this adjustment.
h) Revaluation to fair value of other investments in real assets
Under IAS16 other investments in real assets are normally accounted for at cost.
The adjustment represents the impact on NAV of the revaluation of other investments in real assets to fair value in accordance with the fair value assumptions under IFRS 13.
i) Revaluation to fair value of indirect investments not consolidated
Indirect investments in real estate, such as investments in associations and joint ventures, have different accounting treatments and carrying values under IFRS. Such investments can be valued at cost, fair value or NAV.
The adjustment represents the impact on NAV of the revaluation of indirect investments to fair value if not yet accounted for at fair value.
j) Revaluation to fair value of financial assets and liabilities (including revaluation to fair value of debt obligations)
Financial assets and liabilities such as hedging instruments or debt obligations are generally measured at amortised cost, taking into account any impairment when applicable. The adjustment represents the impact on NAV of the revaluation of financial assets and financial liabilities to fair value as determined in accordance with IFRS, if not yet accounted for at fair value.
In addition, vehicles may incur costs for redemption of bank debts as a result of sales of properties. As with disposal costs, these costs are generally not accrued in IFRS. Where the property is classified as held for sale, any bank debt early redemption costs should be accrued in the NAV.
k) Revaluation to fair value of construction contracts for third parties
Under IAS11, construction contracts for third parties are normally accounted for based on the stage of completion. The adjustment represents the impact on NAV of the revaluation of construction contracts for third parties to fair value in accordance with the fair value principles of IFRS 13.
Adjustments to reflect the spreading of one-off costs
As described in further detail below, set-up costs and acquisition expenses should be capitalised and amortised. The rationale for these adjustments is to spread these costs over a defined period of time to smooth the effect of the write-off of costs on the vehicle’s performance. Furthermore, it is a simple mechanism to spread costs between different investor groups entering or leaving the vehicle’s equity at different times.
In practice, there are many other ways in which vehicles address such issues for pricing, valuation, or other purposes including using bid-ask spreads for issue premium or redemption discounts on the NAV calculated on the basis of set percentages, the capitalisation and amortisation of such costs over different time periods or, indeed, not taking into account such costs at all in the calculation of the vehicle NAV. Since the INREV NAV is primarily intended to facilitate comparability between different vehicles, the INREV approach is a simple but fixed methodology. Please note that these capitalised costs are subject to an impairment test each time the NAV is calculated and therefore should always be recoverable over time. As the adjustments with respect to set-up costs are separately disclosed in the calculation of a vehicle’s INREV NAV, investors can choose how these are taken into account when valuing their holding.
l) Set-up costs
Under IFRS, vehicle set-up costs are charged immediately to income after the inception of a vehicle.
Such costs should be capitalised and amortised over the first five years of the term of the vehicle.
The rationale for capitalising and amortising set-up costs is to better reflect the duration of the economic benefits to the vehicle.
When capitalising and amortising set-up costs, a possible impairment test should be taken into account every time the adjusted NAV is calculated when market circumstances change and it is not expected that the capitalised set-up costs can be recovered through the sale of units of a vehicle. For instance, when a decision is made to liquidate the vehicle or stakeholders no longer expect to recover the economic benefit of such capitalised expenses, they should be written down.
m) Acquisition expenses
Under the fair value model, acquisition expenses of an investment property are effectively charged to income when fair value is calculated at the first subsequent measurement date after acquisition. This results in the fair value of a property on subsequent fair value measurement being lower than the total purchase price of the property, all other things being equal.
Property acquisition expenses should be capitalised and amortised over the first five years after acquisition of the property.
The rationale for capitalising and amortising acquisition expenses is to better reflect the duration of the economic benefits to the vehicle of these costs.
When capitalising and amortising acquisition costs, a possible impairment test should be taken into account every time the adjusted NAV is calculated when market circumstances change and it is not expected that the capitalised acquisition costs can be recovered through the sale of units of a vehicle. When a property is sold during the amortisation period or is classified as held for sale, the balance of capitalised acquisition expenses of that property should be expensed.
n) Contractual fees
A liability represents a present obligation as a result of past events. A fee payable at the end of the life of a vehicle or at any other time during the life of a vehicle may not meet the criteria for recognition as a provision or liability in accordance with IFRS at reporting date.
Examples of such fees include performance fees, disposal fees, or liquidation fees, representing a present obligation from contractual arrangements.
Most of these fees are normally accrued under IFRS accounting rules. The adjustment represents the impact on the NAV of the amount of the estimated contractual fees payable based on the current NAV of the vehicle in the rare circumstances in which these fees are not already recognised in financial statements produced under IFRS and it is probable that they will be incurred. In order to determine the amount of the adjustment, reference should be made to IFRS standards for the measurement (but not necessarily the recognition) of provisions or deferred liabilities.
A description of the calculation methodology and the terms of the underlying agreement should be disclosed (or reference could be made to the related party disclosures in which such agreements and terms are explained).
Effects of the expected manner of settlement of sales/vehicle unwinding
o) Revaluation to fair value of savings of purchaser’s costs such as transfer taxes
Transfer taxes and purchaser’s costs which would be incurred by the purchaser when acquiring a property are generally deducted when determining the fair value of investment properties under IAS 40.
The effect of an intended sale of shares in a property-owning vehicle, rather than the property itself, should be taken into account when determining the amount of the deduction of transfer taxes and purchaser’s costs, to the extent this saving is expected to accrue to the seller when the property is sold.
The adjustment therefore represents the positive impact on the NAV of the possible reduction of the transfer taxes and purchaser’s costs for the benefit of the seller based on the expected sale of shares in the property-owning vehicle.
Disclosure should be made on how the estimate of the amount the manager expects to benefit from intended disposal strategies has been made. Reference should be made to both the current structure and prevailing market conditions.
p) Revaluation to fair value of deferred taxes and tax effect of INREV NAV adjustments
Under IFRS, deferred tax assets and liabilities are measured at the nominal statutory tax rate. The manner in which the vehicle expects to realise deferred tax (for example, for investment properties through share sales rather than direct property sales) is generally not taken into consideration.
The adjustment represents the impact on the NAV of the difference between the amount determined in accordance with IFRS and the estimate of deferred tax which takes into account the expected manner of settlement (i.e., when tax structures and the intended method of disposals or settlement of assets and liabilities have been applied to reduce the actual tax liability).
Disclosures should include an overview of the tax structure including, for instance, details of the property ownership structure, key assumptions and broad parameters used for estimating deferred taxes for each country, the maximum deferred tax amount estimated assuming only asset sales (i.e., without taking into account the intended method of disposal) and the approximate tax rates used.
It is possible that the estimate of the amount of the adjustment required to bring the deferred tax liability related to property disposals to fair value could have a large impact on the INREV NAV. Since tax structures may differ from vehicle to vehicle, significant judgement is required and the mechanics of the calculation methodology for this adjustment may vary from vehicle to vehicle. Other components of the overall deferred tax adjustment require less judgement and are more mechanical in nature.
This adjustment should include a full assessment of the tax impact on NAV of INREV NAV adjustments.
As with IFRS, deferred tax balances are not discounted to take into account time value of money.
q) Effect of subsidiaries having a negative equity (non-recourse)
The NAV of a consolidated group under IFRS may include the net liability position of subsidiary undertakings. In practice, however, the group may have neither a legal nor a constructive obligation to fund the accumulated losses in situations where the financing of the subsidiaries is non-recourse to the vehicle.
In this scenario it is appropriate to make an adjustment when calculating the INREV NAV in order to recognise the group’s interest in such subsidiaries at nil or an adjusted negative amount rather than at a full net liability position, to the extent there is no intention or obligation on the vehicle to make good those losses.
The adjustment represents the positive impact on the NAV of the partial or full reversal of the negative equity of the specific subsidiary. If the vehicle has granted shareholder loans to the subsidiary, these should be taken into account.
Other adjustments
r) Goodwill
At acquisition of an entity which is determined to be a business combination, goodwill may arise as a result of a purchase price allocation exercise. Often a major component of such goodwill in property vehicles reflects the difference between the full recognition of deferred tax, purchaser’s costs or similar items in the IFRS accounts (which does not generally take account of the likely or intended method of subsequent exit), and the economic value attributed to such items in the actual purchase price. Except where such components of goodwill have already been written off in the NAV as determined under IFRS, they should be written off in the INREV NAV.
s) Non-controlling interest effects on the above adjustments
This adjustment represents the impact on the NAV of the recognition of non-controlling interests on all of the above adjustments.
Computation of INREV NAV per share and effect of exercise of options, convertibles and other equity interests
The INREV NAV represents the economic value of the total investment by the investors as a group. To derive the NAV per unit, managers should take into consideration any rights (such as carried interest, performance fees, manager remuneration schemes, terms or different classes of units, NAV waterfall calculation, option shares etc.) held by equity shareholders, or prospective equity stakeholders (in the case of options) of the vehicle in allocating the overall INREV NAV of the vehicle to individual classes of equity shareholders and in determining the individual value of units or shares.
In some circumstances, where the vehicle has raised and called capital, some investors may not have fully paid in their contributions. The INREV NAV per share should take into account the impact of called but unpaid capital.
INREV NAV disclosure requirements
Managers should make following disclosures related to the NAV computation:
Managers should explain material estimates and computation methodologies to enable investors to understand the components of the reconciliation between GAAP NAV and INREV NAV. Explanatory notes to the reconciliation should describe key assumptions, methods used, and in particular:
Vehicle documentation should include a statement of the level of compliance with this module and of the fee and expense metrics that are expected to be disclosed to investors by the manager.
Fees and costs should be measured in line with the principles defined under INREV NAV and INREV GAV.
Fees describe charges borne by the vehicle for services provided by the manager and costs describe charges to a vehicle by external service providers. Fees charged by the manager directly to their investors are not taken into account, with the exception of fees charged for services rendered to the vehicle.
Where a single fee is charged to cover a variety of activities, the constituent elements will need to be identified, allocated to the appropriate cost category and disclosed appropriately.
Historic Total Global Expense Ratio
A historic TGER, based on the time-weighted average INREV GAV of the vehicle over twelve months, should be provided annually.
This approach removes the effect of leverage and provides a more relevant comparison between investment vehicles with different capital structures. Depending on the investor needs, investment managers may also provide a historic NAV TGER based on the time-weighted average INREV NAV.
If considered meaningful, managers may compute and disclose TGER on a quarterly basis (annualised), since inception, or on rolling multiple period averages. The approach should be consistent with the fee and cost allocation and computation methodology on an annual basis.
For the calculation methodology, daily weighting of cash flows is recommended. If not feasible, at a minimum, quarterly figures should be used to calculate the time weighted average INREV GAV and INREV NAV.
The components of the numerator include the vehicle fees and costs for the reporting period, as defined below.
Certain fees and costs, such as property-level costs charged by the manager, should not be included when calculating the TGER; they do however form part of the REER (see below). If the manager charges a single fee covering both property and vehicle management activities, it should be split into its constituent elements.
The formulae for TGER are:


The TGER is an historic or ‘actual’ figure, based on data published annually. Consequently, newly launched vehicles cannot have an historic TGER.
Historic Real Estate Expense Ratio
An historic REER, based on the time-weighted average INREV GAV of the vehicle over twelve months, should be disclosed annually.
While the TGER relates to the operating costs borne by the vehicle, the REER captures only those costs that relate to the management of the real estate assets. The REER includes the property-specific costs described below.
The numerator should include the fees and costs associated with managing the properties, while the denominator should be the time-weighted average INREV GAV.
The formula for REER is:

Forward-looking ratios
Forward-looking ratios and metrics are useful items in the vehicle documentation. However, they are ‘theoretical’, in that they are based on estimated costs, anticipated numbers of assets, and assumptions such as growth rate, vehicle life and tax structuring. Requirements for forward-looking fee and expense metrics at the vehicle launch stage are described below. Once the vehicle has commenced operations, there should be no further requirement for forward-looking metrics as historic metrics based on historic data should then be available.
Forward-looking Total Global Expense Ratio
A forward-looking TGER, based on the time-weighted average INREV GAV for the first year when the vehicle is expected to be stabilised, should be provided in the vehicle documentation. A forward-looking NAV TGER based on the time-weighted average INREV NAV may also be provided. These measures should be calculated following the same methodology as for a historic TGER and for NAV TGER, although they will be based on estimates.
The forward-looking TGER and NAV TGER should be accompanied by disclosure of the estimates used to calculate this metric.
Forward-looking real estate expense ratio
A forward-looking REER, based on the time-weighted average INREV GAV of the vehicle for the first year when the vehicle is expected to be stabilised, should be provided in the documentation. This should be calculated following the same methodology as for an historic REER, although it will be based on estimates.
The forward-looking REER should be accompanied by a disclosure of the estimates used to calculate this metric.
Expense ratio cost classification
Fees and costs should be classified consistently for the purpose of calculating the INREV fee and expense metrics. Fees and costs included in TGER are categorised according to the respective nature of the underlying services. To the extent that the fee is charged for a service provided by the manager in lieu of a service provided by a third party, and is charged in addition to the fund management fee, or is otherwise disclosed separately from the fund management fee, it should be classified according to the nature of the service rather than whether the service is provided by the investment management or third party.
Vehicle fees included in the TGER comprise of:
A. Ongoing management fees and transaction-based management fees:
Where a single fee is charged to cover a variety of activities, the constituent elements will need to be identified, allocated to their appropriate category and disclosed appropriately.
B. Performance fees:
Fee reductions, fee waivers, and transaction offsets recognised in the financial statements of the vehicle, should be disclosed as part of the ongoing investor reporting, and included in TGER. Existence of fee rebates should be disclosed if permitted under the provisions of the vehicle documents. Fee reductions, fee waivers, and transaction offsets not recognised in the financial statements of the vehicle are excluded from the TGER and may be disclosed if permitted.
Vehicle costs:
The costs incurred by Special Purpose Vehicles (“SPVs”), which sit above the acquisition structure in the holding structure, are included in vehicle expenses. Costs of this nature that are charged to the acquisition vehicle should also be included in this category.
Property fees included in the REER are directly attributable to the management and the maintenance of specific properties. These fees comprise:
Property costs included in the REER are directly attributable to the management and the maintenance of specific properties. These costs comprise:
Fees and costs excluded from the TGER and REER comprise:
The constituent elements of the metrics calculations should be disclosed annually.
| Disclosure table | Current year/ period | Prior year/period |
| TGER | ||
| NAV TGER (recommended) | ||
| REER | - |
The following notes clarify the components of each fee and expense metric and should also be read in conjunction with the classifications shown in the fees and costs matrix.
| Constituent elements | Current Year/Period (Amount & Currency) | Prior Year/Period (Amount & Currency) |
|
Ongoing management fees |
||
|
Transaction-based management fees |
||
|
Performance fees |
||
|
Vehicle costs |
||
|
Time-weighted average GAV (required) |
||
|
Time-weighted average NAV (recommended) |
There should also be a clear disclosure of all the fees charged by the manager and the activity to which they relate. A disclosure table should be presented annually providing an analysis of all components of the fees (including any element of performance fee) earned by the manager or by any other affiliate or related party of the manager, for the management of the vehicle.
| Fees earned by the investment manager | Current Year / Period (Amount & Currency) | Prior Year / Period (Amount & Currency) |
| Asset management fees | ||
| Fund management fees | ||
| Performance fees | ||
| Wind-up fees | ||
| Debt arrangement fees | ||
| Commitment fees | ||
| Subscription fees | ||
| Redemption fees | ||
| Property acquisition fees | ||
| Property disposition fees | ||
| Project management fees | ||
| Fees earned by the manager incl. in TGER | ||
| Other fees earned by the manager excl.from TGER |
The fees included in this table should be accounted for in the financial statements for the financial reporting period concerned, in accordance with accounting conventions used by the vehicle.
The vehicle’s constitutional and marketing documentation should include liquidity rights of the investor and how and when to execute these rights, in both normal and exceptional circumstances, as well as detailed consideration of the exit strategy, and existing redemption arrangements.
The fund documentation should include a liquidity protocol document explaining how all investors will be treated in different liquidity events including new equity (or debt) issues, redemptions, secondary market transfers and exit. This document should be reviewed and updated throughout the life of the vehicle and made available to both existing and prospective investors.
The vehicle’s constitutional documents should include a statement of risk factors relating to liquidity. These should include as a minimum an analysis of the potential impact on the investors’ interest if the manager exercises its rights in full to either defer payment or adjust the price payable on redemption. For open end vehicles the risks associated with the vehicle not reaching the optimal size should be clearly set out, with particular reference to the impact on portfolio construction and any liquidity events.
Investment managers should ensure that all documentation relating to liquidity is fit for purpose.
Investors should ensure they fully read all relevant vehicle documentation and material provided as part of the liquidity process.
Within any subscription agreement signed by investors when entering the vehicle, there should be a specific acknowledgement that they fully understand the liquidity restrictions in the fund documentation which should be written in a clear and comprehensive manner.
For open end vehicles the timing for issuance and redemption of units should reflect the independent valuation cycle for the assets. This will help to ensure that all investors are treated fairly.
Any adjustment to the basis of valuation adopted by the manager which impacts the price of subscription or redemption should be disclosed to all investors in the vehicle documentation, including the rationale for the adjustment.
The pricing mechanism for the issue of new units should, subject to local laws and regulations, be fair to all investors and be clear and unambiguous.
New issues should be based on a price determined using an up-to-date independent valuation of the underlying real estate assets and an up-to-date assessment of all other assets and liabilities of the vehicle.
Any special assumptions used by either the manager or the independent valuer should be disclosed to all parties.
The manager should maintain its anti-money laundering or “know your client” requirements for each type of investor that may subscribe to the vehicle. This should reflect the requirements of all those regulated bodies involved in the administration or management of the vehicle (including trustees, depositories and administrators).
The issue of new equity (or debt investments) into a vehicle would normally be based on either the NAV at the time or at cost with a form of equalisation payment from those investors who commit after the first close of the vehicle.
In the event that the NAV approach is used, managers should:
In the event that the cost plus equalisation approach is used, managers should provide a worked example to show the calculation of the equalisation amount to the incoming investor.
The manager should regularly advise investors of the redemption process, including the notice periods, redemption dates, pricing policy and timing of payments.
The manager should be required to disclose any rights it has to use discretion in setting the redemption price or the assumptions adopted by others in key components of the redemption price (e.g., property valuation). Any changes to normal practice as a result of the exercise of these rights should be communicated to investors without delay and including the rationale.
The manager should be under an obligation to disclose all its rights to defer payment of redemption proceeds. In circumstances in which such rights are exercised, the manager should communicate this to the redeeming investors without delay and provide reasons.
In the event a manager exercises its rights to either defer payment or materially amend the expected redemption price, the redeeming investors should have the right to withdraw their redemption request within a defined period.
The manager should document a policy on secondary transfers setting out which factors it will take into account when considering any transfer request. The policy should explain how fairness to all investors is achieved, including how any potential conflicts between primary and secondary issues are dealt with.
The manager should identify their anti-money laundering or “know your client” requirements for any potential investor. This should reflect the requirements of all those regulated bodies involved in the administration or management of the vehicle (including trustees, depositaries and administrators).
The manager should state within the constitutional documents if a confidentiality agreement is required for the release of information to a third party (including potential investors, placement agents and third party trading platforms) and, if so, the manager should make a standard confidentiality agreement available for the respective parties’ use at all times. A clear definition of “qualifying investor” should be incorporated into the constitutional documents identifying any specific restrictions in respect of domicile, financial strength, type of investor (e.g., any restrictions on competitors), minimum or maximum holding.
If pre-emption rights for holders are required by the founding investors, they should be drafted on the basis of a right of first refusal during a limited period from service of notice. In the event that investors choose not to exercise their rights, the selling investor should be free to sell its interest in the open market, within an agreed range of the original offer price during an agreed period.
A draft transfer agreement should be provided at launch, incorporating the minimum representations and warranties required from the relevant parties on any transfer, subject to any variations reasonably required by the manager from time to time. It is acknowledged that the final form of transfer agreement will be negotiated by all parties including the buyer, selling investor and the manager.
Investors should carefully review the constitutional documents and the liquidity protocol document or section to ensure that both documents suit their needs.
The non-executive or compliance officer, if any, should oversee the establishment of a fair pricing mechanism for the issue and redemption of units and an appropriate secondary market transaction framework.
The manager should maintain an up-to-date protocol on liquidity mechanisms for the vehicle including its policy on secondary transfers. The policy should explain what services the manager will perform in relation to any secondary transfers and any fees or expenses to be charged by the manager or the vehicle. It should also state how the manager will interact with any placement agent appointed by the selling holder and any third party trading platform.
The manager should facilitate secondary trading by its existing investors (whether the trade is executed by the manager, via a broker or otherwise) by:
If the vehicle does not have external valuations carried out at least quarterly, then the manager should be under an obligation to disclose all reasonable information required by a valuer and other financial advisers appointed by the selling investor and/or potential investors, subject to all parties entering into a confidentiality agreement restricting the use of the information. It is reasonable for a manager to refuse consent to a transfer under certain valid circumstances. These could include:
In the event the manager becomes aware of any information which, in its opinion, renders any document or announcement materially inaccurate, incomplete or misleading or results in the failure to comply with any obligations in the constitutional documents, the manager may require the selling investor to cease distributing the offending document or announcement and/or make a correcting announcement.
The selling investor should be able to communicate with potential investors, subject to certain consents and indemnifications:
The manager should take specific steps when facilitating or arranging secondary trading in the manager’s vehicle:
The compliance officer should oversee the activities of the manager in relation to secondary market transactions, to ensure they are in compliance with the law and constitutional terms of the vehicle.
The selling investor should:
The manager should seek to mitigate the scale and duration of any ongoing liabilities when making management decisions towards the end of the vehicle life so that all underlying vehicle entities can be wound up as early as is reasonably possible.
The manager should keep investors advised of any ongoing liabilities once assets are sold and the impact on the timing of the ultimate winding up of the vehicle. Ongoing liabilities should be reported as a percentage of capital commitments s to each project and in aggregate.
The manager should limit the amount of capital that can be recalled by the manager once distributed to investors. The period in which the capital can be recalled should also be limited in time and clearly disclosed in vehicle documentation and reports.
The manager should keep investors regularly advised on the level of recallable capital and the manager’s expectations for its use.
Any investment restrictions imposed on a closed end vehicle should cease to apply during the liquidation phase of the vehicle.
During the vehicle wind-up process, any conflicts should be declared by the conflicted party at the earliest opportunity. If the conflict occurs because of the sales process, the investment manager should ensure an independent representative is involved, investor agreement is reached and valuations properly reflect market conditions. When a portfolio is to be sold and the investment manager potentially retained by the buyer, two deal teams should be created by the investment manager with ‘Chinese walls’ in place and senior representation on each team.
During the vehicle wind-up process, asset management and wind-up fees earned by the investment manager or involved third party should adequately reflect the amount of work involved. For example, any fixed fee asset management arrangement should be adjusted if few assets remain.
The vehicle’s constitutional documents should state the rights and obligations of unit holders and the manager regarding extensions (e.g., investor approval rights and changes to management fees during an extension period).
Where the manager has discretion to extend the vehicle life, the manager should disclose in the annual and quarterly reports well in advance whether it believes such an extension will be necessary.
If the manager elects to extend the life of the vehicle, the manager should provide a clear business case, including the financial benefits to the investors expected from doing so.
Where the manager wishes to extend the vehicle term with the consent of its investors, the manager should provide the following information to all investors:
Investors should have the right to appoint advisors to act for them jointly at the vehicle’s cost. Appointments are to be approved by the Investment Advisory Committee (IAC) or a majority of investors if there is no IAC.
In the event the vehicle life is extended beyond the original term, best practice is for the manager’s appointment to be terminable without cause with the approval of a supermajority (usually 75%) of investors at any time after the original term.
In quarterly and annual reports to investors, the manager should provide data on the vehicle’s equity (or debt investments) and on key risks related to liquidity:
The managers should advise all investors of the risks that any one investor, or a group of investors controlled by one decision-maker/adviser, may gain negative control over key decisions of the vehicle.
If appropriate, the investment manager should provide vehicle extension proposals as soon as it becomes clear that an extension may be required, and in any event a minimum of one year prior to the original vehicle termination date.
If appropriate, the investment manager should provide appropriate notice of the decision to wind up a vehicle to investors, no later than one year before the end of the vehicle life but ideally two years.
The investment manager should provide a clear timetable for any wind-up or extension process. The timetable should be part of the vehicle documentation and include a set of procedures for the investment manager and investors to follow during the entire wind-up or extension process. Details of any information provided by the investment manager to investors should also be disclosed.
The investment manager should allow investors a minimum period of eight weeks to consider proposals prior to a formal vote.
Investors should respond fully to any proposals within the timeframe provided.
Both investment manager and investors are obliged to ensure adequate senior management time is given to the end of vehicle life process. Managers and investors should also ensure that those involved are actively engaged in the consultation process. Where possible, an alternative senior manager (appropriately experienced) is responsible for the extension process rather than the individual investment manager.
An investor should have a consistent, documented house view of a vehicle shared by all personnel involved to avoid last minute difficulties.
At the end of the vehicle’s life, it is recommended an investor advisory committee be put in place, if it does not already exist, to participate in the wind-up or extension process.
The investment manager should be prepared to wind up the vehicle if agreement on an extension cannot be reached.
The manager should provide INREV with up-to-date vehicle data and financial performance data to be included in the INREV Vehicle Universe and INREV Index within eight weeks of the end of each calendar quarter.
Managers are encouraged to submit the Fund Level data of the INREV SDDS to INREV, which includes all necessary data for performance measurement plus additional data which allows for further industry comparison.
Vehicle documentation should include the required performance measures disclosed by the investment manager and the frequency of disclosure to investors.
Investment managers should disclose the computed performance measures and methodology used. If the investment manager chooses to use a formula that is not in line with the proposed methodology set out in this module, this should be fully disclosed and explained.
Investment managers should disclose any significant assumptions used to compute the performance measures and their components. The use of the INREV NAV is encouraged. When the INREV NAV is not used and adjustments are made to the vehicle NAV, these should be properly disclosed.
Presentation of the vehicle and asset level performance should be accompanied by adequate disclosures. The purpose of such disclosures is to provide present and potential investors with a precise and complete picture of the vehicle’s historic performance, having due regard to applicable regulatory requirements, e.g. MiFID II, as appropriate to the vehicle.
Performance measures of a vehicle should be calculated at the same frequency as the published NAV valuation of the vehicle, with annual being the minimum frequency.
It is expected that the investments held by a vehicle are measured at fair value, whatever GAAP is used by the investment manager to determine the NAV of the vehicle.
Periods for which a vehicle does not perform valuations can still be used to provide a data point, as long as an NAV is determined. For instance, a vehicle may provide quarterly NAVs, but only annual property valuations. In interim periods the NAV would reflect all changes to the balance sheet while holding the value of the property portfolio constant.
Some measures required in the guidelines may be less relevant during the investment/ disinvestment period. However, investment managers are still required to provide the measures included in this module. Investment managers may provide comments alongside the measures to explain that they may be distorted since the vehicle is in its investment/ disinvestment period
Performance measures at the asset level should be calculated at the same frequency as the property valuation.
Vehicle level performance measures should be computed in the vehicle currency in order to reflect the true performance of the vehicle. Asset level performance measures should be computed on a currency-neutral basis. Nevertheless, the group of assets performance measures should be determined using the vehicle currency, either on a currency-neutral basis or taking into account the currency effect.
Time-weighted returns (TWR) are the preferred performance measures to use when an investment manager does not have control over the cash flows of the investment. This is typically seen in open end vehicles and non-discretionary single-client account portfolios. The Modified-Dietz Method is used to calculate TWRs throughout the financial industry.
In closed end vehicles, the investment manager has control over the drawdown of capital into the vehicle and the eventual distribution of capital and profits back to investors. Therefore, TWR may be less useful for presenting performance for such vehicles. In this context, TWR may be disclosed but it is not a required element for closed end vehicles.
A total vehicle level return on a time-weighted basis should be disclosed in the annual report. This measure should be provided for a one, three, five, and ten year period (where the track record exists) and since inception, on an annualised basis.
When a return for longer than or equal to one year is annualised, it is also allowed to account for the exact number of days.
Investment managers may also disclose a total vehicle level return gross of fees by using the above formulae computations and excluding fees, as appropriate.
A total vehicle level return net of fees is computed as follows:

TwdC = Time weighted (daily) contributions for the measurement period
TwdR = Time weighted (daily) redemptions for the measurement period
TwdD = Time weighted (daily) distributions for the measurement period
A total vehicle level return gross of fees is computed as follows:

TwdC = Time weighted (daily) contributions for the measurement period
TwdR = Time weighted (daily) redemptions for the measurement period
TwdD = Time weighted (daily) distributions for the measurement period
The fees to be considered are all the fees charged by the investment manager at all levels of the vehicle structure. See Fee and Expense Metrics module for the definition and description of fees typically charged to a vehicle.
When fees are charged on distributions, the investment manager should be careful at not double counting those fees into the return computation. When fees are amortised, the amortised portion should be taken into account in the vehicle return gross of fees.
See the Fee and Expense Metrics module for specific guidelines on fees and costs.
Annualisation is computed as follows:

where there is a return that is for longer than one year, but not a full year period (e.g., one year and two months)
For full years the formula is as follows:

ARp = Annualised return for the measurement period p
Rp = Return for the measurement period p (non-annualised)
DHP = Number of days in the measurement period
y = number of full year periods
A vehicle level income return should be disclosed. This measure should be provided for a one, three, five, and ten year period (where a track record exists) and since inception, on an annualised basis.
Net investment income is a measure of the net operational income of a vehicle, on an accrual basis, comprising the income and costs described below. It is intended to provide a measure of operating activity, exclusive of capital transactions or movements in the reported period, excluding valuation gains or losses on assets and liabilities, transaction costs, sale proceeds and taxes on capital profits and losses, and other replacement costs that can be capitalised if in accordance with GAAP. Rental income is recognised in accordance with accounting standards. Certain expenses may be based on the investment vehicle’s unrealised change in net asset value, including, for example, incentive management fees, and are recognised as a component of the unrealised gain or loss.
An income return is computed as follows:

TwdR = Time weighted (daily) redemptions for the measurement period
TwdD = Time weighted (daily) distributions for the measurement period
The main components of net investment income are:
Rental and other income from direct investments and indirect investments (being the net investment income equivalent of a vehicle’s interest/holding in another vehicle):
Vehicle costs:
Vehicle fees:
Property costs:
Taxation expenses:
A vehicle level capital return should be disclosed. This measure should be provided for a one, three, five, and ten year period (where a track record exists) and since inception, on an annualised basis.
When component returns (both net and gross of fees) are presented for any period, the sum of the income return and capital return will generally equal the total return. When component returns are geometrically linked to create cumulative returns, the simple addition of the cumulative income return plus the cumulative capital return will not usually equal the cumulative total return. The difference is acceptable and no adjustment is further required.
INREV’s method for dealing with this inconsistency is to calculate the returns as explained. The total return is correct and the income and capital returns are approximations.
The difference between the returns net and gross of fees do represent the time-weighted impact of fees on the returns of the vehicle.
A capital return is computed as follows:

A distributed income return should be disclosed.
Distributed income is defined as the amount of investment income derived from operations that is distributed to investors or credited to investors in the case of investment vehicle dividends or income reinvestment programs that are elected by the investor.
Distributed income does not include the return of capital or principal, the distribution of realised gains from asset sales (capital gains) or proceeds from financing activities. The objective is to present the actual cash distributions that are derived from customary and ongoing investment management operations without the distortions related to disposition and refinancing activities.
Distributions include dividends and interest paid during the period.
Distributed income return is computed as follows:

A vehicle level since inception Internal Rate of Return (SI-IRR) should be disclosed.
Inception IRR is the IRR of the vehicle after all vehicle-level fees, taxes and carried interest are deducted.
The SI-IRR represents the rate of return based on the present value of all of the appropriate cash inflows associated with an investment, with the sum of the present value of all the appropriate cash outflows accruing from it and the present value of the unrealised residual portfolio over the holding period.
SI-IRRs are commonly used to measure the performance of the investment (contrasted with TWRs, which are used to measure performance that can be indicative of investment manager performance). The SI- IRR is also known as the rate of return that results in a net present value of zero.
The SI-IRR formula discounts flows F1 through Fn back to F0 where: F0 is the original investment; and F1 through Fn are the net cash flows for each applicable period. If the entity has not yet been liquidated, the ending cash flow, Fn, will consist of the latest period’s operating cash flows plus an estimate of the net residual value.
SI-IRR at vehicle level net of fees, is computed as follows:

f0 … fn = cash flow for the period 0 through n (Negative values for inflows and positive values for outflows)
IRR = Internal Rate of return
SI-IRR at vehicle level gross of fees, is computed as follows:

where f’ is cash flow before the deduction of all the fees charged by the investment manager at all levels of the vehicle structure as detailed in the Fee and Expense Metrics module. Typically, fees are added back similarly to distributions to investors, so f’ = f + MF.
In cases where the fee is added on a date other than that of the distribution, or in cases where the fee is paid from outside the account, the same formula can be applied, in which case f’ = f + FM. In the case of accrued fees, the accrual as of time period n should be added from the final net residual market value at f’n.
MF = Management fees (including performance fees)
Multiples
Multiples are shown as ratios, with one financial input in the numerator and another in the denominator, both of which are typically presented for the entire life of the investment rather than some discrete time period (month, quarter, etc.). Used in conjunction with time-weighted returns and IRRs, multiples provide greater transparency when analysing performance. The four commonly used multiples are presented below (PM09 - PM12).
A paid-in capital multiple or paid-in capital to committed capital multiple (PIC) should be disclosed.
This ratio gives information regarding how much of the total commitments have been drawn down. The paid-in capital is the cumulative drawdown amount, or the aggregate amount of committed capital actually transferred to a vehicle. Typically, a number such as 0.80 means that 80% of the vehicle’s capital commitments have been drawn from investors.
PIC is computed as follows:
PIC
CC
PIC (paid-in capital) = Cumulative capital contributed to the vehicle CC (committed capital)
Vehicle CC = Cumulative capital plus undrawn capital.
An investment multiple or total value to paid-in capital multiple (TVPI) should be disclosed.
The TVPI, total value to paid-in capital multiple, also known as the investment multiple, gives users information regarding the value of the investment relative to its cost basis, not taking into consideration the time invested. As an example, a multiple equal to 1.50 is typically read to mean that the investors have 1.50 units of value in the vehicle for every unit invested.
TVPI is computed as follows:
TV
PIC
TV (Total value) = Sum of residual vehicle net assets (NAV) plus aggregate vehicle distributions
PIC (Paid in capital) = cumulative capital contributed to the vehicle
Realisation multiple or cumulative distributions to paid-in capital multiple (DPI) should be disclosed.
DPI represents the amount of capital and income returned or repaid to investors, divided by a vehicle’s capital calls at the valuation date. DPI reflects the realised, cash- on-cash returns generated by its investments at the valuation date. It is most prominent once the vehicle starts exiting investments, particularly towards the end of its life.
As the vehicle matures, the DPI will typically increase. When the DPI is the equivalent of one, the vehicle has broken even. Consequently, a DPI of greater than one suggests the vehicle has generated profit to the investors.
DPI is computed as follows:
D
PIC
D = Distributions
PIC (paid-in capital) = cumulative capital contributed to the vehicle
Distributions retained in the vehicle and not paid to the investors are considered as realised.
An unrealised multiple or residual value to paid-in capital multiple (RVPI) should be disclosed.
This ratio provides a measure of how much of the return is unrealised. As the vehicle matures, the RVPI will increase to a peak and then decrease as the vehicle eventually liquidates to a residual fair value of zero. At that point, the entire return of the vehicle has been distributed. Residual value is defined as the remaining equity in the vehicle or asset.
An RVPI of 0.70 would indicate that an amount equal to 70% of the vehicle’s paid-in capital remains unrealised.
RVPI is computed as follows:
RV
PIC
RV (residual value) = Net asset value (NAV) of the vehicle
PIC (paid in capital) = cumulative capital contributed to the vehicle
The following items should be disclosed alongside the performance measures:
Disclosures may also include explanations for restrictions on cash flows, such as distributions that are restricted and affected by regulations.
Points of reference with the same vintage year or inception year should be disclosed if available and meaningful.
Given the limited universe of vehicles in several markets, it may not be appropriate to use available main- or sub-real estate vehicle indices as points of reference. An investment manager should take reasonable care not to apply points of reference where the investment manager or vehicle in question accounts for a significant share of the underlying universe. When no appropriate point of reference exists, this must be disclosed. Where there is a difference between the performance objective and the point of reference (such as the fund style as defined by INREV), the objective may be used as a primary reference point as long as clearly disclosed.
Where a composite and a point of reference are disclosed, they should be described.
Vehicles should disclose their vintage year.
Where a composite is presented, a composite description must be disclosed.
The time period and frequency of cash flows used in the calculation should be disclosed.
The following considerations and methodologies are to be used when determining performance measures:
Unitised basis versus NAV basis
In some countries, the performance of vehicles may be reported at a unit level. The Guidelines have been developed on the basis that performance has been determined on an aggregate NAV and cash flow basis.
Dates of cash flows
Dates used for performance calculations should be based on the dates of cash flows between investors and the vehicle as determined for accounting purposes. As a minimum, annual cash flows should be used, but it is now common to use higher frequencies such as quarterly, monthly or daily cash flows, especially for open end vehicles. For capital calls, the deadline of the capital call should be used.
Open end vehicles are subject to potentially constant in- and out-flows of capital. To accommodate for the large flows of capital, cash flows can be rolled up periodically, ideally on a monthly basis to the end of each month.
In the case of distributions for unitised vehicles, the declared date should be used. Closed end vehicles should apply the dates where cash flows are called or distributed to investors. The date should reflect the effective date for capital calls when the capital should be paid in and for distributions when the capital was paid out by the vehicle.
Fees
Performance measures are computed net of all fees and any materialised carried interest (or any other kind of performance fee) and forecasted future (provisions for) carried interest payments.
However, fees charged to investors as a result of the redemption of units or exit of the investors should not be considered when they are earned by the investment managers rather than the vehicle. Even though not required, performance measures may also be computed gross of management fees and carried interest payments.
When fees are charged to investors outside the vehicle, performance measures should include these fees as if the fees had been billed directly to/inside the vehicle.
Composites
To illustrate the combined performance of multiple vehicles, composite performance may be presented, combining the performance of each vehicle in a standardised way over time.
Investment managers may consult other industry performance guidelines such as GIPS for further guidance on composites.
Grouping criteria
The term ‘grouping’ is used to describe the process of aggregating/disaggregating two or more vehicles to evaluate performance using the time-weighted return.
To ensure fair representation of composite performance, vehicles included in the same composite must share one or more common attributes.
Composites should be defined by common attributes. A suggested hierarchy of grouping criteria is provided below:
For closed end vehicles, composite performance should preferably be defined by the combination of vintage year and one of the above-mentioned attributes.
Further considerations for multiple computations
Some vehicles have the ability to recycle capital during the investment period (to reinvest returned equity capital). For equity multiples calculation purposes, any distributions that are included as a return of equity or return on equity for the purpose of the calculation (‘nominator’) should, if reinvested (recycled), also be added to the amount of drawn capital (‘denominator’) to give a fair reflection of the true ratio of returned equity to investors. This should be the case whether the recycled equity is actually, distributed and recalled, or reinvested directly by the investment manager without physically distributing back to investors (to eliminate the back-and-forth flow of cash).
Asset level returns on a time-weighted basis reflect the performance of an operating asset or a group of assets. The asset level return relates strictly to asset operations and attempts to strip out all structure-related activity, usually including advisory fees, use of working capital and income and expenses. As such, asset level returns on a time-weighted basis reflect the appreciation and operating income that are generated by the asset.
Asset level returns should be reported on an unleveraged basis, as not all assets are leveraged and those that are, are leveraged within the vehicle structure, which makes the comparison of leveraged returns among different assets difficult.
A total return at an aggregate asset level may be disclosed.
The asset level, unleveraged return formulas are as follows:

TR = Asset total return
MV = Market value at the end of the period
D = Dispositions, net of disposal costs
A = Acquisitions, including acquisition costs
p = Period
k = Asset
Denominator (unleveraged):
When component returns are presented for any period, the sum of the income return and capital return will generally equal the total return. When component returns are geometrically linked to create cumulative returns, the simple addition of the cumulative income return plus the cumulative capital return will not usually equal the cumulative total return. The difference is acceptable, and no adjustment is required to any of the total return components.
For the estimation of an asset’s monthly market values, the following approach is proposed:
INREV's proposal

Value change adjustment:

E [MVkm] = Estimated market value at the end of the month
MVkQ = Market value at the end of the quarter
D = Dispositions
A = Acquisitions
Q = Quarter
k = Asset
Acquisitions costs
The asset level return should reflect the investment manager experience and not that of the investor and therefore the acquisition costs should not be capitalised or amortised for asset level return computation purposes. The acquisition costs should be expensed.
Under the fair value model, acquisition expenses for an investment property are effectively charged to income when fair value is calculated at the first subsequent measurement date after acquisition. This results in the fair value of a property on subsequent fair value measurement being lower than the total purchase price of the property.
For INREV NAV calculation purposes, the capitalisation and the amortisation of the property acquisition cost over the first five years after the acquisition of the property should be used.
Saving on Stamp Duties
Should the positive effect of saving on Stamp Duties as a result of a share deal sale of a property be taken into account when calculating the performance of the asset?
When determining the market value of a property, the valuer should take into account any saving on Stamp Duties and the positive effect of these savings. The valuer should make the same allowance for transaction costs that a normal purchaser of the property would make in the market, regardless of the exit strategy.
Tax roll-up
The valuation should be done at the asset level (valuation of the building) regardless of the SPV. The roll-up of income taxation within the SPV should be captured at the vehicle level.
An income return at an aggregate asset level may be disclosed.

IR = Asset income return
MV = Market value at the end of the period
A = Acquisitions
p = Period
k = Asset
Net operating income numerator (unleveraged):
The net operating income (NOI) numerator is the net operating income (before interest expenses) that was reported by the asset during the period. Vehicle or investment level income and expenses should be excluded from NOI because the asset level returns focus on asset operations.
Estimation of asset’s monthly NOI and CAPEX
When CAPEX and NOI are collected over a quarter period, to estimate the monthly values, the following two options are possible.
1.Equally distribute quarterly NOI and CAPEX to the months based on the number of days an asset is owned during the month
2. Allow contributors provide monthly NOI and CAPEX for more precise performance calculation
A capital return at an aggregate asset level may be disclosed.

CR = Asset capital return
MV = Market value at the end of the period
D = Dispositions
A = Acquisitions
p = Period
k = Asset
Capital return numerator (unleveraged):
The appreciation numerator measures the change in asset value (increase or decrease) not caused by capital improvements or sales.
The INREV Code of Tax Conduct Guidelines designs a framework in line with industry best practices to establish and promote common and workable standards for non-listed real estate vehicles built on the following five principles.
Compliance with laws, regulations and tax obligations – The whole fund structure (from local property companies to the fund (“investment vehicle”) and its managers should always comply with the relevant laws, regulations and tax obligations applicable in the jurisdiction in which it is established or active.
Cooperation with Public Authorities – Where applicable, INREV Members should maintain a lawful and transparent relationship with public authorities based on an appropriate communication and dialogue.
Internal Governance – Investment vehicles should determine clear responsibilities with regard to tax management and compliance with the law.
Approach to tax and business rationale – The approach to tax associated with investments should be business oriented and justified by a strong business rationale/acumen.
Transparency and Disclosure towards investors and other stakeholders – INREV Members should comply with EU and/or international rules and standards regarding transparency and disclosure of information. Risks associated with the use of Non-Cooperative Jurisdictions (“NCJs”) should be considered before investing / contracting.
INREV Members should comply with all tax laws, regulations and any other obligations which directly apply to INREV Members’ activities.
Compliance with tax laws and regulations involves compliance with the letter of the laws as well as the spirit of the laws and guidance as provided by public authorities. INREV Members are encouraged to seek to address any uncertainty in tax laws on a principled basis. Uncertainties might be addressed by applying for a ruling or opinion, for example.
INREV Members should comply in undertaking their activities with, inter alia:
Where possible INREV Members are likewise encouraged to actively weigh the effects of an indirect application of any other tax law or regulation which may apply to INREV Members’ activities. Members are also encouraged to align with the EU and other relevant legal and policy frameworks as well as the EU and other relevant processes on tax and anti-money laundering and countering the financing of terrorism (“AML-CFT”) developments. Specific attention is encouraged for:
INREV Members are encouraged to apply relevant laws and regulations to their investment activities. Inappropriate use and/or interpretation of international public law (be it of a bilateral or multilateral character), EU Directives and Regulations, as well as domestic legislation applying to each of the concerned jurisdictions in a cross border investment is, hence, discouraged.
INREV Members are encouraged to co-operate with public authorities. Co-operation includes:
Co-operation is encouraged in any of the jurisdictions where investments are performed (and not only in INREV Members’ own country of residence).
INREV Members are encouraged to lawfully co-operate with public authorities on any reasonable tax related requests; any cooperation request which is unclear or unreasonable should be diligently addressed as means to clarify the extent and scope of any such request.
Requests properly introduced by the competent administration should be complied with in a timely manner
INREV Members are encouraged to seek co-operation from public authorities when appropriate as means to clarify or address any question regarding the application of the law (insofar as reasonable and in a fully transparent manner).
In doing so, INREV Members should principally seek to ensure an interpretative clarification from the public authorities under the terms and procedures of tax law.
INREV Members are encouraged to formalise an internal tax governance and tax risk management framework.
As such, INREV Members are expected to indicate that tax and tax policy are well embedded within their organisations and that these reflect the INREV Members’ stances or endorsements of tax conduct in general.
Tax governance and risk management responsibilities, which are recommended to operate with an appropriate level of human resources as per each Member Organization – could have the following objectives:
Further guidance on this matter can be found in OECD Guidelines.
INREV Members are encouraged to regularly monitor and test the operational capacity of the tax governance and risk management responsibilities to assess the extent to which it is representative of their endorsed tax conduct and the assumed positions on tax risk.
Individuals in charge of the tax governance and risk management responsibilities should possess a senior level of experience when dealing with pan European investment tax related items (notably European, international and other relevant tax law).
INREV Members are recommended to ensure that individuals allocated to such responsibilities regularly receive on the job training as means to appropriately manage and update tax positions, as well as to meet regulatory requirements, where needed. Third party service providers could assist in the undertaking of such framework. A written protocol on how to handle conflicts of interest within the investment vehicle may be implemented.
The supervision of these responsibilities should be allocated to senior leadership and/or the Board of Managers / Directors who should prompt regular briefings on material tax issues, legislative changes and significant disputes.
Significant tax risks should also be subject to validation by the person in charge of tax governance and risk management.
The tax governance and risk management responsibility is also recommended to support and contribute to the implementation of international and EU standards on AML-CFT.
INREV Members are recommended to determine their approach towards tax and pre-define an internal tax and transfer pricing policy in light of responsible business investment strategy.
Within this approach to tax and transfer pricing, INREV Members are encouraged to:
For the content of the tax policy, guidance can be taken from the UN investors' recommendations on corporate income tax disclosure and the GRI 207: Tax 2019 reporting standard.
INREV Members should define tax criteria to ensure that their investment strategies are neither solely tax driven nor that they have, as one of their principal purposes, the avoidance of tax. As such, any investment strategy must consider a balancing of interests and be justified by strong business rationale, as well as being non-artificial and coherent. Furthermore, INREV Members should be able to define what type of tax approach may be considered as being solely tax driven or aggressive tax planning investment (e.g., exploitation of technicalities in a tax regime or exploitation of inconsistencies between tax regimes in order to reduce tax liability).
As part of their approach to tax, INREV Members are recommended to formulate their view on tax with respect to real estate investment strategies. The view on the tax approach in real estate investment strategies can be further detailed in concrete tax criteria that need to be tested during the entire lifecycle of a real estate investment. Tax management that is supported by overall business rationale that may prevent economic and juridical double taxation may be considered.
INREV Members are encouraged to consider risks associated with the use of Non-Cooperative Jurisdictions (hereafter “NCJs”) or any other countries that one could reasonably believe do not align with international tax cooperation standards before investing.
When operating in or through an NCJ, INREV Members are recommended to be in a position to demonstrate the business rationale or acumen and sound economic reasons thereof and provide an appropriate description of the tax regime/attributes which apply.
In addition, INREV Members should be in a position to demonstrate that they are not obtaining or bringing into the overall structure any specific tax benefit from investing through a NCJ;
When operating in or through a NCJ or low tax country, INREV Members are encouraged to:
Finally, INREV Members should:
While operating in jurisdictions, INREV Members and their investment managers are encouraged to conform to relevant national, EU and/or international rules and standards regarding transparency and disclosure of tax information (including voluntary disclosure), formulate their views and remain transparent on their chosen tax policy.
Where applicable and as part of full transparency, INREV Members are encouraged to report relevant information pertaining to tax in general, tax risk or tax policy to investors as appropriate, although it does not necessarily imply a full disclosure to the public.
INREV Members are recommended to document the tax policy applied during a fiscal year including investment jurisdictions where they operate.
INREV Members are also encouraged to demonstrate transparency to stakeholders by publishing their tax policy.
For the content of the tax policy report guidance could be taken from the GRI 207: Tax 2019 reporting standard.
The investment manager should ensure that the vehicle complies with applicable ESG laws and regulations.
The investment manager should comply with, and act in the spirit of, (i) the applicable laws and regulations relating to ESG issues (such as, SFDR, EU Taxonomy, CSRD, etc. (see list of abbreviations in Appendix 4 under Tools and Examples)) and (ii) the constitutional documents of the vehicle which may, among other things, adopt voluntary frameworks with respect to ESG issues such as GRI, TCFD, SASB, UN SDGs, UN PRI and others. Vehicles should also be prepared for any future legislation that may be undertaken over its life cycle.
The investment manager should have appropriate systems in place to monitor compliance.
The investment manager should develop and formally document its ESG strategy and objectives as a component of its overall goals related to the vehicles it manages, as relevant.
Acting ethically requires the investment manager to ensure that the overall goals of the vehicle consider and include a clear ESG strategy and objectives specific to that vehicle. The vehicle documentation should clearly outline these elements.
Building a practical and robust ESG strategy starts with a broad consideration of the ESG risks and opportunities that are material to the vehicle and its environment, including the society in which it operates over its lifetime, based on an appropriate materiality assessment. Consideration of recognised frameworks can support this process.
Furthermore, there are vehicles that are designed under various “impact investing” scenarios, subject to qualifying criteria that may be adopted. For example, refer to INREV’s definition and framework of Impact Investing.
The investment manager should identify and understand the interests of all major stakeholders with which the vehicle transacts and interacts (see also G07 of the Governance module). Regular consultations with these stakeholders, employees and relevant third parties may be helpful. The outcome should be clear ESG objectives that can be incorporated into the overall vehicle goals.
The consideration of an appropriate ESG strategy is an important element in the development of new vehicles. Depending on its strategy and objectives, an ESG strategy should also be considered and developed for an existing vehicle, to the extent feasible. Relevant considerations when building an ESG strategy are diverse and will vary over the lifetime of the vehicle. The relevance of the individual components needs to be monitored on a regular basis and specific objectives and planned outcomes adjusted accordingly. Factors to be considered as part of this process include but are not limited to those listed in Table 1.
The strategy should outline which ESG factors are relevant to the vehicle, the related vehicle-specific objectives and how these will these topics be monitored during its lifetime. The investment manager should clearly define in the vehicle documentation an outline of this strategic plan by reference to the specifics of the vehicle, including the location and type of assets and the nature of its operations.
Table 1: ESG Factors
| Key factors | Definition & explanation | Typical mitigation / operational actions | Required KPIs1-RG73 | Recommended KPIs1-RG78 |
|---|---|---|---|---|
| Environmental factors | ||||
| Energy Consumption / Renewable Energy | The portfolio’s total energy consumption, including the energy generated and/or sourced by renewable energy sources. | Monitoring energy use, implementing energy management system with new technology use (store energy, minimise artificial lighting), energy efficiency through products or systems using less energy (eg LED lighting), use of more efficient modes of transport etc. | ENV1, ENV2, ENV3, ENV4, ENV5, ENV6, ENV7, ENV8, ENV9, ENV10, ENV11, ENV12, ENV13 | ENV29, ENV30, ENV31, ENV32, ENV33, ENV34, ENV35, ENV36, ENV37, ENV38, ENV39, ENV40, EN41 |
| Greenhouse Gas (GHG) Emissions | Total GHG emissions of the portfolio, providing the details of the scope of the methodology used (eg direct / indirect emissions, embodied / operational carbon, market / location based, carbon off-sets etc.) (see INREV definition). | Changing energy source, through initiatives such as the use of lower-emission sources of energy, use of supportive policy incentives, use of new technologies, shift toward decentralised energy generation, decrease travel footprint. | ENV14, ENV15, ENV16, ENV17, ENV18, ENV19, ENV20, ENV21 | ENV42, ENV43, ENV44, ENV45, ENV46 |
| Climate Change – Transition Risks & Opportunities | Net zero building target, decarbonisation scenario pathway targets (see INREV definition). | Minimise the operational carbon (energy, water & waste), explore on-site renewable energy generation, procure off-site renewable energy (eg renewable energy certificates), minimise embodied carbon associated with capital goods, services, and capital works, neutralise residual carbon emissions by purchasing high quality carbon offsets. | ENV22 | ENV47, ENV48, ENV49, ENV50, ENV51, ENV52, ENV53 |
|
Climate Change – Physical Risks & Opportunities |
Climate adaption and resilience (see INREV definition). | Scenario analysis, physical measures at asset level. | ENV23 | ENV53 |
| Water Consumption | Portfolio’s total water consumption. | Initiatives to minimise water consumption (drip/smart irrigation, automatic water reading, high efficiency) and waste water management (reuse of grey water). | ENV24 | ENV54, ENV55, ENV56, ENV57, ENV58, ENV59 |
| Waste Management | Portfolio’s total waste generation, including issues associated with hazardous and non- hazardous waste, reuse, recycling, composting etc. | Use of recycling, reuse of waste generated during the operational phase of the building as well as considering circular building strategies in construction phase (eg use of renewable, sustainably managed and secondary resources which are low impact and eliminates waste across their life cycle). | ENV25 | ENV60, ENV61, ENV62, ENV63, ENV64, ENV65, ENV66, ENV67, ENV68 |
| Biodiversity | Impact of the portfolio on the variety of plants and animal species, covering issues related to wildlife, endangered species, ecosystem services, habitat management etc. | Initiatives to improve biodiversity (eg, green roofs) and protect green spaces and habitat. | - | ENV69 |
| Building Certificates | A measure of asset quality that may provide benefits for tenants, society and the environment. | - | ENV26 | ENV70, ENV71 |
| Energy Ratings | Indication of energy efficiency and performance of the assets. | - | ENV27, ENV28 | ENV72, ENV73 |
| Social factors | ||||
| Diversity, Equity and Inclusion (DEI) | In relation to the employment practices of the vehicle (or of the manager) and also in relation to engagement with suppliers and occupiers (see INREV definition). | Developing systems and procedures for recruiting and retaining diverse talent, ensuring equal pay for equal work, DEI trainings, supporting external diversity associations/activities etc. | - | SOC1, SOC2, SOC3, SOC4, SOC5, SOC6, SOC7, SOC8 |
| Health, Safety and Wellbeing (HSW) |
HSW initiatives of the vehicle (or of the manager) that involve both prevention of physical and mental harm, and promotion of stakeholders’ health. |
Flexible working hours/working from home arrangements, childcare facilities or contributions, paid maternity/paternity leave, indoor air quality/water quality, access to physical activity, social interaction and connection etc. |
- | SOC9, SOC10, SOC11, SOC12, SOC13, SOC14 |
| Stakeholder Engagement |
The process of involving stakeholders (tenants, community, suppliers etc.) who may be affected by the decisions made or can influence the implementation of the decisions. Engaging with stakeholders helps the manager identify and manage its negative and positive impacts. |
Stakeholder activities including tenant liaison, satisfaction surveys, training courses, green leases, community engagement strategy, processes to communicate grievances/complaints, feedback sessions etc. | - | SOC15, SOC16, SOC17, SOC18, SOC19, SOC20, SOC21 |
| Employee Development | In relation to working conditions for employees as well as in the supply chain. | Training courses, satisfaction surveys etc. | - | SOC22, SOC23, SOC24 |
| Human Rights |
Rights inherent to all human beings, whatever their nationality, sex, ethnic origin, colour, religion, language or any other status. These cover issues such as child labour, forced labour etc. |
Exclusion criteria for activities with third parties, green leases etc. | - | - |
| Social Impact | See INREV definition. | Affordable housing units, community engagement, car/bike parking spaces for residents/occupiers etc. | - | SOC25, SOC26, SOC27, SOC28, SOC29, SOC30, SOC31, SOC32, SOC33, SOC34, SOC35, SOC36 |
| Governance factors2 | ||||
| Act lawfully and ethically | ||||
| Act in the best interest of investors and consider other stakeholders | ||||
| Act with skill, care, and diligence | ||||
| Design and operate an adequate oversight and control framework | ||||
| Be transparent while respecting confidentiality considerations | ||||
| Be accountable | ||||
Notes:
1. See Table 1 of RG73 and Appendix 1 of the INREV sustainability reporting guidelines for the list of INREV ESG KPIs
2. For more details, please refer to INREV Governance module.
The investment manager should ensure that the vehicle’s ESG strategy and objectives include a climate change strategy to assess and manage climate-related risks and opportunities.
The investment manager should ensure climate-related risks and opportunities are included as part of its overall strategy. The investment manager should ensure that its operations are aligned with the long-term objectives of the Paris Agreement with respect to carbon emissions.
The vehicle’s climate strategy should include the definition of a science-based pathway specific to the vehicle, which is aligned with the overall goal of a transition to a low-carbon economy. This pathway should outline a reference base case and time horizon which has been stress-tested to reflect resilience against different climate-related and other scenarios and their potential impact on the financial performance of the vehicle.
Monitoring the vehicle’s performance against these objectives should be an integral part of its operations.
Refer to G07 of the Governance module.
The governing body of the vehicle, together with the investment manager, should ensure that there are systems and procedures to strengthen the skills, capacity and competence of employees and the governing body with regard to ESG issues.
The investment manager, together with the governing body of the vehicle, has a responsibility to assess whether the people involved in the vehicle are well-equipped and possess sufficient knowledge, skills, and experience to consider and address major ESG risks and opportunities while performing their duties.
Key members of the operational and management team, including the governing body of the vehicle, should have capacity and devote adequate time to effectively operate and oversee the ESG strategy and objectives of the vehicle. This consideration is especially important for team members that are instrumental to the success and execution of the ESG strategy of the vehicle.
The investment manager should ensure that all parties involved in the operations and management of the vehicle are adequately trained and have access to appropriate educational programmes in relation to ESG objectives of the vehicle.
It is important that all parties involved in the operations and management of the vehicle have an understanding of its strategy, objectives, and targets related to ESG considerations. This could be facilitated through training and awareness programs.
The investment manager should allocate sufficient resources for education and training. Training should cover the major considerations around ESG, including areas such as building an awareness of the impact ESG factors may have on the performance of a vehicle, its business model, and the risk management approach. Also, it should assist in identifying the primary impact the vehicle’s strategy has on the environment, society, and other stakeholders, together with its unintended consequences.
The investment manager should consider principles of Diversity, Equity and Inclusion (DEI) in shaping the structure and culture of its organisation, and the composition of its governing body.
The investment manager should ensure that its human resources processes and programs are impartial, fair, and provide equal possible outcomes for every individual based on merit, irrespective of identity and background.
The composition of the governing body should be based on the required skills and expertise and appropriate DEI principles.
The culture and management style of an organisation should promote effective teamwork with individuals feeling included and comfortable in contributing to problem-solving and decision-making.
The governing body, together with the investment manager, should define a framework for their oversight of ESG topics and their responsibilities for ESG factors in strategy-building, its implementation, and the investment process.
The governing body, together with the investment manager, should consider the following areas when defining their oversight framework and responsibilities with respect to ESG and climate-related issues and decision-making:
The investment manager should establish policies and procedures to ensure that the ESG strategy and objectives are implemented considering the best interests of its investors and stakeholders.
The investment manager should include in its policies and procedures provisions to effectively mitigate the potential impact that the vehicle’s operation may have on a range of external stakeholders with respect to ESG factors. For example, such considerations should be built into the vehicle’s due diligence and decision-making processes, to minimise material adverse impacts on society, the environment and other stakeholders, alongside the relevant financial and sustainability risks.
These policies and procedures should effectively address the range of ESG factors (listed in Table 1 of ESG02). A vehicle may have different approaches to documenting its ESG policies and procedures. For example, ESG objectives could be addressed through a series of dedicated policies (eg sustainable investment policy, responsible contractor policy, climate resilience policy, conflicts of interest policy etc.) or could be embedded in relevant wider business policies (eg as a component of human resource policies or investment policy etc).
The remuneration policies for members of the governing body and for the investment manager should be consistent with the ESG strategy and relate to objectives and performance in relation to the management of ESG risks and the vehicle’s impacts on the environment and society.
The ESG policies and procedures should be practical and embedded in key business processes, such as supply chain management, building operations and development (including adaptation and mitigation activities), acquisition/divestment activities, and access to capital.
The investment manager should design and operate an effective system of internal controls on its ESG framework.
An effective internal control framework should be adapted to the specific risks, processes, and organisational structure supporting an investment vehicle. It should include consideration of the ESG framework of the vehicle. The investment manager may consider developing an Environmental Management System (EMS) for the vehicle and/or for its property management activities and having certified it, to the extent it is applicable.
The internal control framework should be aligned with legal and regulatory compliance functions and the overall risk management framework (for more details, see Governance module).
The investment manager should identify key metrics, in order to monitor progress towards ESG objectives and annual targets, including specific climate-related outcomes, on a regular basis.
Environmental and social objectives should be measured and monitored by setting clear metrics. These indicators should be designed to measure and manage ESG risks and opportunities and be aligned to the extent possible with INREV’s list of standardised metrics typically used for real estate investments, as described in Table 1 of RG73 and Appendix 1 of the INREV sustainability reporting guidelines.
These metrics include indicators related to climate risks, energy efficiency, water consumption, waste management and biodiversity, as well as social metrics, where relevant.
The investment manager should define specific positions, teams and/ or committees, embedded in their management structure, to coordinate and monitor progress towards objectives that are defined within the ESG strategy.
The investment manager should define specific roles and responsibilities, embedded in their management structure, to ensure that the implementation of the ESG strategy is efficient and effective, including, but not limited to:
The investment manager should develop a framework to identify and track ESG-related incidents and controversies in an effective and timely manner.
In the normal course of business, a vehicle may encounter and be exposed to a wide range of ESG-related incidents and controversies such as misconduct, penalties, accidents, and breaches of codes of conduct/ ethics. The investment manager should ensure it has sufficient resources and systems to identify, monitor, and resolve such ESG- related incidents and controversies in an effective and timely manner.
The investment manager should ensure that, as an integral part of the investment process, adequate ESG assessments and analyses are fully embedded.
When making key decisions, such as to develop new buildings, refurbish assets, and/or buy/hold/sell assets, it is important to fully analyse and understand specific ESG factors related to the asset and how these factors were taken into account, including assessments on valuation outcomes (for more details see INREV Property Valuation module). The investment manager should be confident that they have done sufficient work to confirm that a particular asset and its related asset management plan are aligned with its overall ESG strategic objectives – see Appendix 2 for a list of ESG considerations related to important components of a typical investment process.
The investment manager should ensure that its ongoing asset management processes are aligned with the overall ESG goals and objectives of the vehicle.
To achieve the ESG objectives of the vehicle, the investment manager should define annual plans at the asset level and set out clear ESG targets and action plans associated with the management of the asset. It is important to identify key performance indicators for the assets in order to monitor progress towards those objectives on a regular basis. The investment manager should consider the ESG KPIs set out by INREV – see Table 1 of RG73 and Appendix 1 of the INREV sustainability reporting guidelines.
The investment manager should consider an appropriate management system to collect and consolidate ESG data related to the vehicle and its underlying assets, including tenant and supply chain data.
The investment manager should also consider incorporating ESG clauses into lease agreements to support the ESG objectives. ESG clauses relate to actions such as, defining the responsibility for capital expenditure on ESG projects, sharing cost savings, sharing data and the installation of energy and water metering, making commitments that ESG factors will be considered when using contractors, etc.
The investment manager may participate in ESG assessments and/or receive ESG scores. In addition, tenant engagement strategies play an important role in implementing an ESG strategy at asset level. Tenant engagement actions may include training, regular meetings, campaigns and surveys.
The investment manager should build systems and processes to manage ESG impact in their supply chain.
An investment vehicle may be involved in negative ESG impacts either through its own activities and assets or as a result of indirect impacts through its supply chain.
The investment manager should consider the main drivers of any possible negative ESG impacts it might have in its supply chain and build its approach to prevent and mitigate them.
The investment manager should consider ESG factors in its due diligence in order to prevent, mitigate and address actual and potential negative impacts in the supply chain. These include negative impacts caused by the relationship with a supplier that could be directly linked to the operations, services or development of the assets.
Actions taken to address supply chain impact can include changing procurement practices and other processes and adjusting performance expectations and training, as well as terminating certain supplier relationships.
They may also include operating programs to engage with other stakeholders, such as the communities related to the operation of specific assets, to enhance performance, and identify and mitigate actual or potential negative impacts.
As part of the development of the vehicle’s overall risk management framework, the investment manager should ensure that ESG risks, including climate-related risks, are appropriately identified, assessed, and monitored.
The vehicle risk management framework should include a definition of relevant ESG- related risks and risk appetite. It should also define the roles, responsibilities, and controls within the risk management function which specifically mitigate those risks.
The investment manager should ensure that ESG-related risks and mitigation strategies are integrated into the investment objectives and operations of the vehicle.
See Appendix 1 for a description of ESG considerations and techniques that may be considered by risk managers.
The investment manager, in collaboration with the governing body of the vehicle, should define an appropriate ESG reporting framework. This framework should be clear, balanced, and fairly represent the ESG performance of the vehicle, in line with regulatory requirements, investor expectations, and its ongoing business needs. The framework should be clearly defined in the constitutional documents of the vehicle.
The investment manager, together with the governing body of the vehicle, has an obligation to ensure that all forms of reporting, including ESG reporting, are appropriate to the circumstances and include applicable regulatory and legal components. In pursuing this responsibility, the best interests of investors should always be considered. See also G31 of the Governance module.
The investment manager should disclose relevant ESG information periodically (at a minimum on an annual basis) in a clear and concise manner. In accordance with INREV’s reporting guidelines, the investment manager should clearly define in the constitutional documents of the vehicle the content, frequency, and timing of its annual and interim ESG reporting (see also G37 of the Governance module. These should be determined in line with investor expectations and the ongoing business needs of the vehicle.
The organisation and reporting format of the vehicle’s ESG status, actions and performance may be reflected in a dedicated ESG section in annual/interim reports, integrated into relevant generic sections of those reports, or presented as a standalone sustainability report (see Reporting module).
When developing its ESG reporting framework, a broad range of ESG KPIs should be considered by the investment manager as relevant to the ESG strategy and business needs of the vehicle - see INREV ESG KPIs in Table 1 of RG73 and Appendix 1 of the INREV sustainability reporting guidelines.
In addition to respecting the regulatory and contractual reporting obligations of the vehicle, the investment manager may consider other widely recognised ESG reporting standards and frameworks. The investment manager should disclose to investors which industry frameworks were considered and adopted for ESG reporting and climate-related risk assessments (eg TCFD, WGBC ANZ, GRI, SASB, CDP, UN PRI, UN SDG (see Appendix 4)).
The investment manager should state whether the vehicle participates in ESG assessments and/or receives ESG scores (eg GRESB). Information regarding participation, outcomes/scores and future ambitions should be communicated to investors.
ESG reporting should include details on how the vehicle embeds the ESG strategy into its overall governance approach to achieve targets and the performance achieved against those targets. It should include a description of how its governance structure integrates ESG considerations into decision-making processes.
Certain legacy vehicles or funds which opt not to have a coherent ESG reporting framework should nonetheless disclose this status and provide any relevant explanations.
The Investment manager, together with the governing body of the vehicle, should demonstrate how they are actively engaged with and accountable to their stakeholders.
The investment manager and the governing body of the vehicle are accountable to their stakeholders for the ESG strategy and performance of the vehicle. Demonstration of this accountability could include, for example, being prepared and ready to respond to ESG- related queries, providing explanations on the ESG performance of the vehicle, or meeting with investors and other stakeholder groups to review and discuss ESG-related issues impacting the vehicle.
For more details on the accountability principle and guidelines, see the INREV Governance module.
Please select the module(s) you would like to download